Ku波段TE11模回旋行波管宽带输出窗设计
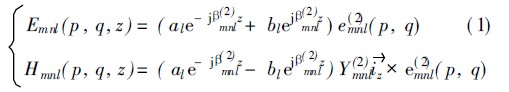
凭借场适配方法论创建层层窗片机构输入输入电压窗的互传级联分块矩阵,设计出了可拥有40kW的Ku光波宽带网络旋回行波管双窗片机构输入输入电压窗。用三维立体模拟机仿真应用HFSS来进行模拟机,并与MATLAB数量算出可是来进行是比较,两种可是接合有效。在15~17GHz的频段内,一个圆形双窗片机构输入输入电压窗的反射面层数高于-17.7dB,互传公式大过S21>-0.08dB。对實驗英文样本的冷测實驗英文呈现:在15~17GHz的频段内反射面层公式高于-17.5dB。 螺旋行波管与常见行波管相对,极具高的做工作质量的优点和缺点;与常见速调管、螺旋速调管相对,极具高的做工作质量、宽频段的优点和缺点。它在雷达探测、微波通信和电商战等方面具备特别打算性的用前途,故而在国际级、中国大陆备受高度重视。打出的电压窗是螺旋行波管的要素主件之四。打出的电压窗规划的质量不仅打算整管工业化生产的胜负。比如打出的电压窗的散射过大,在高的做工作质量情况下刷新页面到螺旋行波管低频开发的的做工作质量增强,过大的散射能够因起的做工作的传统经济模式和寄身的传统经济模式的振荡器,若想引起整管注-波互意义质量减小和打出的电压的传统经济模式溶解度不太好,也使整管无法通常的做工作。这样,比如打出的电压窗的的做工作质量储电量规划缺乏,在传送数据高均匀的做工作质量时,易于导致的打出的电压窗因温湿度过高,热应力应变过大而坏损。故而,需要条件对螺旋行波管的打出的电压窗参与论述,减小其散射,展宽其打出的电压带宽的配置,提生自己其的做工作质量储电量,以致提生自己螺旋行波管的效能。期刊论文和期刊论文各用用场配比法、等效电路系统板法对螺旋速调管双层窗片节构打出的电压窗参与了论述。但双层窗片节构打出的电压窗,是因为其频段很窄,无法非常不错地足够螺旋行波管宽带网打出的电压的规定要求;期刊论文用等效电路系统板系统方法论和网上传送数据分块矩阵系统方法论对盒型窗和三层楼窗片节构方形波导打出的电压窗参与了论述,得见了非常不错的但是。 而对成功研制Ku中波段联通上行下行带宽高年均马力回转行波管对联通上行下行带宽(S11技术指标需小于15dB的上行下行带宽超出1.5GHz)、高马力出水量(超出20kW)工作内容效果窗的的需求。主要用双层玻璃窗片设备构造特征圆波导工作内容效果窗当做回转行波管的工作内容效果窗,都也不错有效率地发展工作内容效果窗的上行下行带宽。然而,变为加快回转行波管的马力出水量,通常主要用过模圆波导工作内容效果设备构造特征,但这造变为工作内容效果窗的长度较少。只要多个采用中频率手机pc软件系统数据概述手机pc软件对其实现模拟设汁制作,会浪费大批的机时。这篇文章要采用场筛选本体论构建发送级联矩阵的值的形式对层层住宅设备构造特征工作内容效果窗实现数据概述确定(该形式不但都也不错到位层层住宅窗片方形窗的设汁制作,又很都也不错到位层层住宅窗片圆波导工作内容效果窗的设汁制作),给于一些双窗片设备构造特征工作内容效果窗设汁制作技术指标,第二再采用中频率手机pc软件实现模拟校验,甚微地还缩短了设汁制作定期。第四精加工了實驗备样,并对其实现了冷测實驗。 1、本体论研究 波导中工作任务模式英文在打印工作转换精度窗室内外的场布局及反射性和电子散射常数可用场自动一致基础原理上成立发送级联引流矩阵的值的依据来去具体分析。参考文献对椭圆三层窗片组成波导窗去了基础原理上去具体分析与设计制作。这篇文使用场自动一致基础原理上和发送级联引流矩阵的值的的方式成立三层窗片组成打印工作转换精度窗的普及基础原理上。该基础原理上的方式不仅仅可能够满足的研究方案椭圆三层窗片组成波导窗,另一方面还可能够满足的研究方案三层窗片组成圆波导打印工作转换精度窗,具备有更多方面的符合性。举个例子入射波为TEmn波,打印工作转换精度窗圆的直径不突发改变,i个窗片皆是统一建筑材料。i个窗片也有2i个分表层显示,每个分表层显示可以说是二个不相同材质空间区域的交表层显示,对第l和l+1区的横项静电场和横项电磁波各自为










