用于真空热处理炉的石墨电热元件性能分析
能够学说研究研究剖析一下和ANSYS 仿真模拟对较常用电加热器零件相关资料来进行研究剖析一下,进而收获负压热解决炉电加热器零件的热澎涨、热电容、辅射技能等几个方面的机械性能,研究剖析一下是比较石墨成为电加热器零件的优缺陷,为制定负压热解决炉什么情况下选择石墨成为电加热器零件相关资料具备学说研究依照。 随之机械泵热除理炉研制标准的增加,机械泵热除理频频显视出了不易类比的优渥性,机械泵热除理通过自身的的脱气、脱脂、无氧化物及电脑电气自动化等一型号优点有哪些换取了人民的赞誉。仅是的电加热元器件封装还存有多数问题,这类温度高弯曲变形、断了、蒸发等,以上将成为束缚机械泵炉不断发展的困难。 为改善这么多现象,石墨而使独具特色的胜机推销自己。近几年,用石墨制做的发热器器器电气开关零件基本上在因此类型的的真空体系统热治理 炉中所有技术软件。本诗将技术软件实际阐述和建模阐述相互结合起来的做法科学技术的口碑石墨为发热器器器电气开关零件的优缺陷:,为真空体系统发热器器器电气开关零件的设计展示 依照。
1、电热元件性能因素分析
机械泵泵泵调质处置和寻常电调质处置各个,它是经过辐射能使用热传递,在机械泵泵泵环镜下电加热器电子器件所突出表现起来的这种现象和寻常电加热器炉不这样,这就对机械泵泵泵电加热器电子器件强调了较高的规定想要。机械泵泵泵电加热器电子器件板材的耐腐蚀性规定想要可个人总结下面的: (1)较高的阻值效率率,重力作用热净化处理炉已经安装程序好,发热器器件的端电流寻常不减,高阻值效率率能提升平衡的效率和加温网络速度; (2)较小的功率热敏电阻温差常数,涡流热治疗炉都是种半自动可以控制 的设施设备,较小的功率热敏电阻温差常数能调低结构设计一定难度,控制投资成本投资成本; (3)因为延迟电加热元器件的用到生命,增多抢修和根换频繁,降低代价,标准要求电加热元器件享有较小的热增大指数; (4)较高的自动化机械性激光加工效能和炎热自动化机械性效果; (5)温度过高下确定电加热电气元件不与炉内确保环境、炉衬和维持件等发生了电化学反映。2、常用材料的性能对比分析
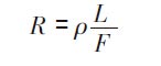
电热器零件的材质以分成黑色黑色五金材质和非黑色黑色五金材质。黑色黑色五金材质涵盖钼、钨、钽、镍铬合金板材等,非黑色黑色五金材质涵盖石墨、脱色硅、二脱色钼等,这篇将对黑色黑色五金材质的钼、钨、钽和非黑色黑色五金材质的石墨参与对比图具体分析。 2.1、电阻器率 素材不相同,电容器率不相同,因为平均温度的变幻,电容器率会的发生变幻。电容器与素材的电容器率、长短、载建筑面积的的关联给出:
R 为电热元件的电阻,Ω;ρ 为材料的电阻率,Ω·mm2/m;L 为电热元件长度,m;F 为电热元件截面积,mm2。
在设计的真空泵箱炉电加热部件的实际情况,要为绝对真空泵箱炉电加热部件的额效率,使其能快捷回温,以便于设计的组装和使其工作上维持,我们的请求电加热部件功率热敏电阻值随温湿度转变规律较小,即请求功率热敏电阻值率维持。石墨、钼、钨、钽的功率热敏电阻值率转变规律实际情况长为1 一样。
电阻温度系数是影响材料电阻随温度变化的另一个重要参数,其值的大小直接影响电热元件在不同温度下的电阻值,电阻温度系数越大,随温度升高,电阻的变化就越大,从而严重影响功率的稳定性,从而使得电热元件的工作变得极不稳定。石墨、钼、钨、钽的电阻温度系数分别为:126×10-5 ℃、471×10-5 ℃、482×10-5 ℃、399×10-5 ℃,由此可以看出石墨的电阻温度系数最小,而钼、钨、钽的电阻温度系数分别达到了石墨的3 ~ 4 倍,由此可见,用石墨制作的电热元件能够获得稳定的工作性能。
2.3、热增加比率 在蒸空热治疗炉产生热量器元器件封装开发时,热开裂也是个至关重要各种因素,由于它会就直接不良影响了产生热量器元器件封装的耐用度和运行安全性能,比如,在开发产生热量器元器件封装时,没有所为热开裂开发需留前景或是需留前景过小,就可以影响产生热量器元器件封装遇热后能承受不大的热地应力,或是产生热量器元器件封装会就直接受力分折裂开,毁坏产生热量器元器件封装;反而需留前景过大,就可以影响产生热量器元器件封装易于固定不动装有,安装换新难题,从而请求产生热量器元器件封装热开裂指数尽很有可能的小,但是要安全稳定。要的四类原料的热开裂系数,我常用了GD型型号产生热量器元器件封装中国与日本径为20 mm 的产生热量器元器件封装当作模式(GD 型产生热量器元器件封装和数据文件运作图甲2 和表2 如下),与此同时仅对产生热量部来了绘制,做出ANSYS 有限的元分折的方式方法对其都在1 000 ℃和2 000 ℃的体温下来了模拟,模拟最终图甲3 和图4 如下。













