气体分子运动论基础及相关计算公式
1、处于平衡状态的理想气体分子,其热运动速度的分布服从麦克斯韦速度分布定律。气体分子热运动率介于v~v+dv之间的几率为
dN/N = F(v)dv = 4π(mo/2πkT)3/2·exp·(-mov2/2kT)·v2dv (9)
式中F(v)是频率v(m/s)的间断性指数函数值,称呼频率区域划分指数函数值。mo = M/NA ,为同一个气物碳原子的安全性能(kg)。 利用频率分布不均涵数,都可以算出体现原子式热锻炼密度的七种特性频率。最可几频率vm 是在有机废气乙炔气原子式所兼具的各样不同的热锻炼转速中冒出率有最高的转速,即与F(v)最高值相比应的v值;那些有机废气乙炔气原子式热锻炼转速的逻辑运算标准差叫逻辑运算均转速v;把那些有机废气乙炔气原子式的转速的多平方米加了 ,以后被原子式统计数除,再开方就得以均方根转速vs。她们的算关系式如下图所示:
2、理想气体的压力基本公式,将气体分子微观热运动的强弱直接与宏观上的气体压力定量联系起来:
P = 1/3(nmovs2 = 1/3(pvs2) (11)
3、气体中一个分子与其它分子每连续二次碰撞之间所走过的路程称为自由程,自由程有长有短,差异很大,但大量自由程的统计平均值却是一定的,称为平均自由程页λ(m)。单一种类气体分子的平均自由程为(12)
![]()
![]()
![]()
![]()
4、气体分子的某一次自由程取值完全是随机的,但大量自由程的长度分布却服从一定的统计规律。气体分子自由程大于一给定长度χ的几率为(16)
![]()
![]()
![]()
例如:一台离子束真空设备中,高能离子流由离子源射向25cm处的靶,若要求离子流与真空室内残余气体分子碰撞的散失率小于5%,那么温度为27oC的残余气体压力应为多少?
根据题意,可知当χ=0.25m时,要求 Pi(λi>χ)≥1%~5%,由(18)式,解出 exp(-0.25/λi)≥0.95,则 λi≥0.25/(-ln0.95),即 λi≥4.87m。再将此结果代入(15)式得 kT/πσ2p≥4.87m;取空气的分子有效直径 σ=3.72 × 10-10 m,则要求残余气体压力 p≤1.38 × 10-23 × 300/(π×3.722×10-20×4.87),即p≤1.95 × 10-3 Pa。
5、关于气体分子对所接触固体表面(如容器壁)的碰撞问题,可以从入射方向和入射数量二方面加以讨论。若一立体角dw与面积元ds的法线间的夹角为θ,则单位时间内由dw方向飞来碰撞到ds上的气体分子数目dNθ与cosθ成正比,这就是通常所说的余弦定律:(19)
![]()
单位时间内碰撞在固体表面单位面积上的气体分子数目称为气体分子对表面的入射率ν(m-2 s-1),其计算式为:(20)
![]()
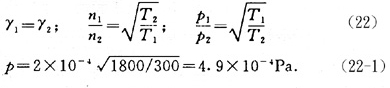
6、如果两个相连通的真空容器温度不同,那么内部气体达到状态平衡时的参数也会有差异。在低真空条件下,即粘滞流态时,二容器的平衡条件是压力相等,二容器内气体压力、温度及分子数密度间关系为:
p1 = p2 和 n1/n2 = T2/T1 (21) 在高真空系统前提因素下,即团伙流态时,二不锈钢容器内甲烷气体高达冲力和平的前提因素是在联接处的入射率γ一样,然后有关系:(22)
这种由于温度不同而引起气体流动,平衡时产生压力梯度的现象,称为热流逸现象。它会给真空测量带来误差。例如某真空电阻炉热场区温度为1800K,通过细管连接的真空规管工作在300K温度下,若规管测得真空度为2×10-4 Pa,则可由(22)式算得炉内的真实气体压力为(22-1)












这篇文章解析了CF活套卡箍盘、KF活套卡箍盘、ISO活套卡箍盘(ISO-K和ISO-F)间的有什么区别和