LY0型冻干机冻干箱内压力场模拟分析
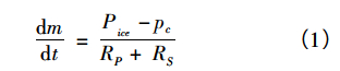
考虑到学习医疗耗材冻干机冻干酒店内水蒸汽气压区域划分区方式,选用FLUENT pc软件对LYO 型冻干机区别型式的干酒店内水蒸汽流场参与了仿真机,仿真机定性分析了干室中搁板占地面、搁板间隔距离、水蒸汽进化量对干酒店内水蒸汽气压区域划分区的引响。仿真机折算报告单意味着区别型式的干酒店内的水蒸汽气压长期存在严重差异化。仿真机折算报告单能否中用开展冻干机冻干箱里区别地方原辅材料的干频率,为同敲定冻干工商登记键型式及流程技术参数提供数据很大的理论体系参考资料意义。 1、编后语 在医药冻干产生的时中,基于冻干机中冻干箱及冷阱的辐射源源的直接影响、搁板湿度会有湿度系数方向、冻干箱中情况部水液体工作负荷生长不不光滑等关键直接影响因素的影向,使得医药粗糙强度不统一,然后影向医药的产品品质和产生的的成本性。在对影向医药粗糙强度的关键直接影响因素调查中,而是冻干时中的水液体动态数据生长决不能易采用检验做出在线平台测试软件,所有,有关于冻干医药导热传质的调查医学文献大都密集于采用检验及熟知模似的的方式调查冻干室及搁板的辐射源源的直接影响、搁板湿度系数方向对医药粗糙强度的影向,而来说冻干时中冻干箱中情况水液体流入时还有其工作负荷生长距离引致的粗糙强度多种调查较少。 这段话探讨了阻力调整在保健医药冻干时中中的效用,并运用CFD 各值虚拟机小软件FLUENT 对LY0 型系例冻干机Ⅰ和Ⅱ2个款式冻干柜内水水蒸汽游动采取了虚拟机探析探讨,探析探讨了各不相同的隔板置物架平数、高度及水水蒸汽凝炼客流量对冻干时中中冻干柜内水水蒸汽阻力分布不均范围的影响力。虚拟机探讨冻干柜内水水蒸汽的阻力分布不均范围现象,对于那些无误判断和降低了原料吹干数率的不匀性及保障保健医药出产时中中保健医药质理均一性存在基准币值。 2、阻力参数表对冻干方式的影晌 冷藏缺水全操作的阶段中中是具转移网页的发热量和质理时候引入的全操作的阶段中中。鉴于热传导手段、冻干箱压力差值等全操作的阶段中中主要因素设置的不一,并且物品物性主要因素设置的层次性性,使冷藏缺水全操作的阶段中中的关系主观因素较多,造成热传导、传质全操作的阶段中中更僵化。冻干箱压力差值Pc是冻干全操作的阶段中中中有一个首要的调控主要因素设置,其对热传导传质都在有关系。冻干全操作的阶段中中中质理引入的调控方程式为:

由式( 1) 分析可知,干燥过程中冻干箱内压力Pc越小,水蒸气从升华界面升华的驱动力越大,从而升华速率变快使干燥过程加快。但若药品冻干过程中干燥室压力控制过低,由于在现代制药工业中,常用橡胶塞密封西林瓶,药品冻干后直接在冻干箱内压封,而橡胶塞是由丁基聚合物为主要材料制成,在极低压条件下,会挥发出一些单质硫和石蜡附着在药品表面,对药品造成污染。冻干箱压力过低还会降低冻干机对药品的传热效率,真空度越低,传热系数越小。因此冻干箱压力作为一个重要的冻干过程参数,应该控制在合适的值使冻干过程传热传质达到最佳。在药品冻干工艺设计时,冻干箱压力参数与样品传热传质耦合过程经验公式为:
![]()














了解了LHC—28 /147型螺旋轴- 发动机活塞串连空压力机组螺旋轴减小机油汽分开