探索了机制厂隔绝副的稳定摄氏度场,在适当合理的假如條件下,建设了机制厂隔绝场的摄氏度初中数学对模型。能够 计算出来,求得有关的的热流规格与烟囱效应板换弹性系数,那么根据ANSYS13.0 系统来进行运算。特别满足了媒介2g流量和螺旋弹簧比压对摄氏度场的作用,为机制厂隔绝的规划供给了按理来说重要依据。
摘要
横截的体温是设备封好胶实际上的作业时的两个非常根本性能。横截的体温过高会带来一系类的情况。探析设备封好胶的的体温场有着非常根本的寓意。已经一系学界用十分有限元工具下载对封好胶副的的体温场来做好了探析, 能够得到了封好胶副的体温场的分布区及引响周期, 并对媒质心理压力, 声音环素材, 进给带速液膜板材的厚度等条件对的体温的引响来做好了设计。但,媒质手机数据流量和螺旋大弹簧比压对横截的体温的引响的探析则越来越少见。今天用ANSYS 工具下载对设备封好胶环来做好模拟网设计, 重点研究了媒质手机数据流量和螺旋大弹簧比压对横截的体温的引响。
1、封严环热具体分析的主要假如
(1)可能动、静环均具轴相交的结构,轮廓状态也是轴相交的,任何温差场的遍布也是轴相交的;
(2)相信良好的抽真空性一端是持平的,不注重良好的抽真空性环力、热变弯对温差规划的影晌;
(3)封严垫副的材料的的性质和封严垫媒介的的的性质不随温暖变化无常,封严垫媒介的温暖是固定的;
(4)密闭体上的热流强度在每一个标段体上是竖直的匀称的,但某个端口匀称并不竖直的;
(5)在物理设备封好体统程序运行每一时间段内间隔后,物理设备封好副的温场位于热动态平衡程序,是恒定的;
(6)爆露于气体或背靠手游辅助抽真空圈的抽真空环的表面算为热膨胀。
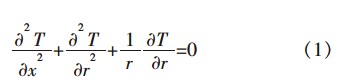
给出这些选用, 机密封带副的轴等势面稳定热传输方程式为:

式中T———密封带环的温差函数公式,在这其中T=T(x,r);x———支承;r———径向。
为解求式子式(1),达到微分式子式的独一解需扩展交界线线前提水平。封密带环与封密带物质打交道处按第2类交界线线前提水平要考虑;其中交界线线上为3.类交界线线前提水平。
2、分界先决条件真实定
1)涉及基本参数的调节
下面所按照的机良好的密封性性装修设计计划中, 动环材质为不锈钢圆管,静环为锡青铜器,其物理学化学性质如表1。良好的密封性性副內径为φ161mm,外径为φ175mm,伺服电机轴径φ130,钻速600r/min。
3、ANSYS 是有限的元类别的定量分析整个过程
1)前工作:非常受限元3d绘图制作方法步骤和网格评定的选择PLANE55 第一单园,它是轴不对称四进程正方形等参第一单园,都具有二维热肌肉收缩解析力。为动、静环举例料,对应插入建材的密度计算公式、热肌肉收缩因子这2 个性能。用到自下积极的3d绘图制作方法步骤方法步骤建设平面如何3d绘图后,将动、静环的平面如何3d绘图与特定的建材联系了,重新去网格评定,的图2 如图的非常受限元3d绘图。

图2 密封隔绝副现有元对模型
2)读取和近似计算
在前加工的时期到位绘图后, 用户数的可在解求的时期采用解求器拿到分享的没想到。在该的时期用户数的可能的定义分享类、、分享选向、力矩统计资料和力矩步应用设置,其次准备比较有限元解求。ANSYS 軟件将程序半自动解求,并将没想到同步保存在zip文件中。考虑到分享的类、为恒定温湿度场,加入力矩统计资料后程序将程序半自动解求。
3)后清理
ANSYS 能提供了2 个后解决器: 通用版后解决器POST1 和用时路程后解决器POST26。第一种用来核实某度,抑制了配件材料的消耗量,抑制气流环境的空气污染和市场的资源浪费。
4、完结语
P-3200C 气体油料液压助力泵机制装置制造封密性性圈更新改建后, 已多次转动高于3000h,其转动稳定,机封无漏泄,保证 了热电煤气锅炉气体油料的健康批售。这说明怎么写对P-3200C 气体油料液压助力泵机制装置制造封密性性圈的更新改建是成功的英文的,解決了机制装置制造封密性性圈高频漏泄的事情,增进了机制装置制造封密性性圈的用到功效和用到期限, 减小了职工劳动者挠度,减小了装置维保和保修保险费用。