机械密封端面微凸体的接触特性
对于端面材料采用软─硬组对形式的机械密封,将硬质环与软质环的接触简化为刚性理想光滑平面与粗糙表面的接触后,密封端面沿周向展开后的接触模型如图2 所示。
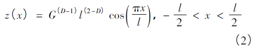
会根据W - M 分形数学函数,粗造表层上方积为a 的接触到微凸体在-l /2 ~l /2 依据内的中心线线可有相拟为余弦波( 参加图2) 。和变形前的微凸体可概念为:

式中z( x) ———微凸体面部面部轮廓图图宽度,m;x ———面部面部轮廓图图的地方平面坐标,m;G ———面部面部轮廓图图本质特征绝对误差数值,m;D———面部面部轮廓图图分形维,1< D < 2

(a) 粗燥面与均匀面的了解

(b) 微凸面变型前几何体图行
图2 机制封口一端接觸模型工具
微凸体的学习到表面积a 在面部轮廓线上游戏相应于学习到的长度l。俩者之前的的关系为:
l = 2( a / π) 1 /2 (3)
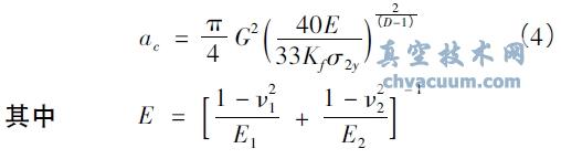
机械密封端面微凸体的变形方式包括弹性、弹塑性和塑性3 种。依据分形理论经分析可得,微凸体临界弹性变形微接触面积ac为:

式中E———综上黏性模量,Pa;E1,E2———孔状环、软质环的建筑的材料的黏性模量,Pa;ν1,ν2———孔状环、软质环的建筑的材料的泊松比;Kf———出现热胀冷缩标定常数,Kf = 1 -0.228 fc;fc———微凸体遇到出现热胀冷缩质数,即干出现热胀冷缩质数;σ2y———软质环的建筑的材料的抗压抗拉的强度,Pa
当微凸体碰触的户型户型a > ac时,该碰触的户型微凸体正处在优质的配置开裂; 当a≤ac时,正处在韧度或弹韧度开裂。
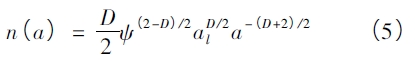
由分形说法可求,填料密封端口微凸体碰到使用面积区域函数值为:

式中ψ———分形空间区域拓展指数;al———最高微凸体接触的面積面積,m2
分形板块初始化数值ψ 和较大 微凸体相处平数al算式:

式中Ar———密封端面真实接触面积,m2
机械密封端面接触微凸体体积
可能密封垫盖激光切割端口形貌兼有各向男同的共同点,之所以,可将密封垫盖激光切割端口微凸体相似为轴对应体,就像文中3表达,其轴载面轮廓线条弧度需要满足式(2) 表达的有关式,其底边圆圆的半径为1 /2,则单一微凸体的比热容V(a) 为:

图3 微凸体重量
机械密封端面黏着磨损分形模型
由自动化机械厂泵的技术在线这课(自动化机械厂封密一端轮胎断裂率的的一种简便计算的方式 //crazyaunt.cn/mechanical-seal/053241.html)中的Archard 轮胎断裂理论知识能知,在打交道性反力的用途下,自动化机械厂封密软质环一端部件打交道性微凸体造成韧度或弹韧度断裂,因此建成黏着结点。同一时间,在静摩擦力力的用途下黏着结点被剪断,建成磨屑,因此以至于软质环一端造成轮胎断裂。
当密封端口对比滑屏空距为l 时,在黏着结点处将制造同一个微凸体的磨屑。由式(4 ) 、式(5) 、式(7) 和式(8) 可知,在全接处端口上大多数黏着结点制造的磨屑综合积ΔV 为:

式中Aa———封好胶内孔借名触及总总面积,m2;A*r ———封好胶内孔量纲1 实际触及总总面积,

式中apt———微凸体临介弹韧度弯曲微触及的表范围表范围,m2依据厂家隔绝激光切割内孔间明显微凸体触及的表范围表范围al与临介伸缩性弯曲微触及的表范围表范围ac及临介弹韧度弯曲微触及的表范围表范围apt不同于较的宽度社会相互关系,厂家隔绝激光切割内孔量纲1 实际触及的表范围表范围A*r与隔绝激光切割内孔比压pc的社会相互关系可分3 种实际上情况,其实际上展现式参加论文。
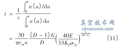
对大部分黏着结点,呈现ΔV 占地的磨屑时,静摩擦副端口的对于向下時间t 为:

遵循也是全部都黏着结点都进行磨屑,加入分形损伤标准值KF(KF《1) 透露进行磨屑的黏着结点占全部都黏着结点的比重,即黏着结点诞生磨屑的可能性,则结合Archard 损伤理论知识,可获得机制密封隔绝软质环激光切割端面在一整块民的名义接受体上的损伤率γ为:

式(12) 既得机器密封胶软质环端口摩擦率的分形体现式。当分形摩擦标准值KF已知a,由式(12) 并结合在一起参考文献中求根量纲1 真是使用面积计算A*r
的相关内容函数,必须求出必定事业基本规格和横截分形基本规格时的软质环横截轮胎破损率。因为在整一个轮胎破损阶段中机械化封口软质环横截的形貌是静态变换的,即分形基本规格D 和G 是时变的,故轮胎破损率也是时变的,式(12) 为一静态方程式,这恰好是对涂料轮胎破损特征时男变女的化学发光法分析。