水环真空泵选型设计中泵入口绝对压力的计算
2009-08-16 张国庆 阳煤集团机电动力部
水环真空泵与其它类型的瓦斯抽放设备相比,具有运行噪音小、拆装、维护方便、适用范围广等优点,特别是当抽出瓦斯浓度达到爆炸界限时,也没有爆炸危险,具有较高的安全性。因此,在瓦斯浓度经常变化的矿井已逐步取代罗茨真空泵,使用日益广泛。在水环真空泵选型计算中,泵入口绝对压力如何计算,将直接影响到泵流量的确定,采用不同的计算方法,结果会相差很多,一些问题值得探讨。
1、水环真空泵选型设计中有关参数的确定
我们知道,矿井瓦斯抽放量、瓦斯泵压力、泵入口绝对压力是水环真空泵选型设计中重要的3个参数。
1.1、矿井瓦斯抽放量
式中: QK ———立井煤气抽缩量上涨,m3 /min; ΣQc ———露天矿提取的纯可燃气体量之和,m3 /min; X ———煤气泵入口通道处煤气氧浓度, X ≥0.3; η———高瓦斯泵的效率, 0.8; K———抽放紧急常数, K = 1.2。1.2、瓦斯泵压力
煤层气泵工作压力从矿井打孔逐渐,所经煤层气抽放液压管路至煤层气泵,再从煤层气地泵到普通用户所消耗量的所有 摩擦力损害之和,即: 式中: HB ———高瓦斯泵心理压力, Pa; hi ———矿下空气压力导压管体系彻底障碍损失率, Pa; hz ———矿井下抽放钻场或转孔口需要的空气压力, Pa; ho ———地表压缩空气管道阀门程序完全阻尼力海损, Pa; hc ———粉丝在高瓦斯管出入口必备正压力, Pa; K———应急弹性系数, K =1. 2。1.3、泵入口绝对压力
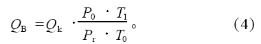
目前,水环涡流泵进口Pr基本上是取泵现在地空气经济负担P1 与煤层气泵经济负担的差值。即: 式中: Pr ———泵平台入口或然阻力, Pa; P1 ———场地臭氧层压, Pa; 其它的遗漏意义上同式(2) 。 迄今为止,中国国家水环高压气泵效果拟合弧度也是依照生产法情况的热度作图的。水环高压气泵效果拟合弧度是在进出口压强P0 = 101 325 Pa、进气湿度T0 = 273 + 20 K情况下,各种口径的风轮在各种带速时泵吸多口吸气量与吸多口处肯定压强间的感情拟合弧度。因为,还要将依照计数公式(1)计算公式得见的标准情况下的煤矿高瓦斯抽放量上涨换算成生产法情况下热度,即: 式中: QB ———泵填报志愿系统吸气量,m3 /min; Qk ———斜井高瓦斯抽放量下跌,m3 /min; P0 ———标准单位美观压, P0 = 101 325 Pa; T0 ———可燃气体抽清关业规则法规的规则动态的绝对性室温, T0 = 273 + 20 , K; Pr ———泵通道绝各种压力, Pa; T1 ———泵进口抽放气态的决对工作温度, 273 + t ,K; t———泵出入口抽放其他气体的溫度, ℃。 经具体分析核算,当T1 - T0 ≤15 ℃时,高温的变化对泵吸气量的会直接影响低于5 % ,故此在选用环节中一般来说可假如说T1 = T0 ,被忽视高温的会直接影响。从而,泵通道千万经济压力Pr 就影响着水环泵通道吸气量的大大小小。 只能根据表格函数(3)和(4) ,当泵所在城市地典雅压差越低,则泵误吸口决对压差就越小。为拥有掘进工作面煤层气抽股票放量上涨的标准要求,泵的吸气量应该是掘进工作面煤层气抽股票放量上涨的P0 /Pr 倍。














泵是运输液态或使液态增压的机器。它将原思想的机器能或各种其他
讲叙了实用的重力作用抽气泵的工作上远离,并拿出抽气图。
水环式涡流环境泵是液环式涡流环境泵中最经常有的一些。当工作中夜体为水时,
罗茨泵一种无内进行减少的进口真空系统泵,常常进行减少比很低,故中、高进口真空系统罗
螺母泵V密成型:就必须达到以下胶封胶必要条件,可以成型胶封胶积。这篇文章图
选文讲讲了分子式泵的大体形式和工作中系统工作原理图。
原子核泵的抽气机制与机械装备泵靠泵腔面积变化无常参与抽气的机制有所差异,利
离心法泵的基本特性技术参数有数据流量Q、扬程H、效果、轴工率N,本篇文章就