离心泵叶轮抗汽蚀优化设计
1、前言
某乙烯公司循环水系统共有17台32SA-10C型单级双吸式离心水泵。96年开工以来该泵经常由于汽蚀,造成泵运行不平稳、振动、噪音偏大。更严重的是叶片发生汽蚀破坏时,泵无法继续运行。
2、该离心水泵原始参数
2.1、32SA-10C 循环水泵的主要参数
(1)视频流量:5040m3/h; (2)时速:730rpm;(3)水温:40℃; (4)有机溶剂:循环系统水;2.2、32SA-10C 循环水泵的使用情况
泵桨叶运用HT200 灰口铸铁质开发,正常的选用时,运作不能保持稳定,振动模式大,风噪大,运作几个月,桨叶由闸道边至嫩叶主跨的四分一个处,汽蚀而所有串孔,极限管径为ф40mm,这不恰不暂停服务换掉新桨叶。3、离心泵叶轮优化措施
3.1、离心泵汽蚀破坏的原理
汽蚀是一种液体动力学现象,发生的根本原因在于液体在流动过程中出现了局部压力降,形成了低压区。当泵吸入口压力降低到该处相应温度下的饱和蒸汽压时,液体发生沸腾汽化,使原来流动的液流中出现大量气泡,气泡中包含着输送液体的蒸汽及少量原来溶解于液体中而逸出的空气。当气泡随同液流从低压区流向高压区时,气泡在周围高压液体的作用下,迅速缩小凝结而急剧地崩溃。由于蒸汽凝结过程进行得非常迅速与突然,结果在气泡消失的地方产生局部的真空,周围压力转变的液流非常迅速地从四周向真空空间冲挤而来,产生剧烈的水击,形成极大的冲击力。由于气泡的尺寸极微小,所以这种冲击力集中作用在与气泡接触的零件微小表面上,其压力可达数百个大气压以上,水击频率高达25000次/s。因而使材料壁面上受到高频高压力的重复载荷作用而逐渐产生疲劳破坏;同时,如果所产生的气泡中还夹杂有活泼气体(如氧气等),借助于气泡凝结时放出热量对金属起化学腐蚀作用,致使金属表面出现麻点以导致穿孔,严重时金属晶粒松动并剥落呈现出蜂巢状甚至把壁面蚀穿。这种气泡不断形成,生长和破裂崩溃,以致材料受到破坏的过程,总称为汽蚀现象。
3.2、循环水泵优化方案
3.2.1、提升扇叶主要参数由于现场工艺条件限制,乙烯公司循环水系统32SA-10C 泵进口管路比较复杂,造成管路损失过大,叶轮进口存在明显压降,泵形成汽蚀。欲不使泵汽蚀,必须增大有效汽蚀余量NPSHa 或减小泵汽蚀余量NPSHr,保证有效汽蚀余量NPSHa 大于泵汽蚀余量NPSHr。但是有效汽蚀余量NPSHa 的大小与装置参数及液体性质有关,而泵汽蚀余量NPSHr 与装置参数无关,只与泵进口部分运动参数有关,泵进口部分运动参数在一定转速和流量下是由泵的几何参数决定的,也就是说,泵汽蚀余量NPSHr 是由泵本身决定的。在进行了多方面比较权衡后,确定了下列改造方案:保持原泵壳、底座、管路等工艺条件不变,即不改变有效汽蚀余量NPSHa,而是按实际工艺流量重新设计叶轮,通过改变叶轮参数减小泵汽蚀余量NPSHr,来提高泵的抗汽蚀性能。
3.2.2、优化调整水泵叶轮的加工制造艺和叶轮叶片建材 原转子主要包括了大理石平整体结构设计压铸的方法,大理石平原素材的晶体结构设计不足非均质,σs,σb都不足高,抗应力比腐化工作能力不好,在有汽蚀的的情况下,最易更快的出现汽蚀毁损;压铸嫩叶嫩叶没了较高的精铸比,原素材不结实,晶体粗长,抗汽蚀使用功效显眼不超精铸转子。针对以上理由,变转子制造厂施工工艺及嫩叶嫩叶原素材,来增强泵的抗汽蚀使用功效。3.3、优化措施
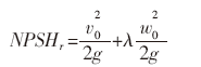
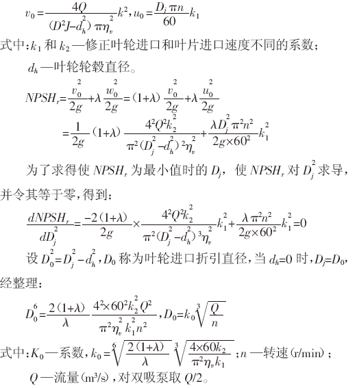
泵汽蚀裕量: 式中:v0—嫩叶原装国外稍前的或然高时间;w0—嫩叶原装国外稍前的比较高时间;λ—嫩叶口压降弹性系数。 要确认增大NPSHr 值来提高自己泵本来的抗汽蚀性能指标,则肯定确认增大v0、w0、λ 来满足,在现场改装过程中中,确认改善水泵叶轮出口直径不低于Dj和改善嫩叶出口角β1来达成该依据。 3.3.1、提高水轮进出口的直径DJ设叶片进口圆周分速度VUI=0,由叶片进口稍前的速度三角形w02=v02+u02 ,有增大叶轮进口直径DJ,则圆周速度u0增大、V0减小,必存在一个DJ使二者平方和最小。现利用求导数方法求Dj:
















泵是运送流体或使流体增压的自动化自动化设备。它将原倾向的自动化自动化设备能或相关外部链接
讲叙了常见的正空抽气泵的运转关键技术,并给于抽气图。
水环式涡流泵是液环式涡流泵中最先见的另一种。当上班流体为水时,
罗茨泵一种无内解压缩视频的真空箱体泵,一般解压缩视频比很低,故中、高真空箱体罗
螺栓泵V密造成:需求满足了4个封口情况,才华造成封口积。此文图
文章述说了原子泵的基本的组成部分和事业原里图。
大分子泵的抽气生理机制与机械设备泵靠泵腔水比热容发展做好抽气的生理机制不一样的,利
离心力泵的一般功能主要参数是指视频流量Q、扬程H、成工作效率、轴工作效率N,我们就