间隙流导对罗茨泵的最大零流量压缩比的影响
在罗茨泵的吸入压力PA =133.3 ~1333Pa工作时, 间隙内的流动状态为分子流, 间隙流导L
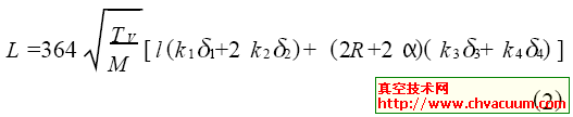
式中 T v ——通过间隙的气体温度, 等于排气温度
M ——分子量
K 1、K 2、K 3、K 4——分别为型线轮廓的、径向的、端面固定端和端面流动端间隙的克劳辛修正系数
D1、D2、D3、D4——各为型线纹理的、径向的、一端稳定端和一端移动下气隙 R ——旋转叶直径 l——电机转子高度 A——叶轮节圆回转半径因此要降低罗茨泵的间隙流导, 最有效的方法是降低罗茨泵的各项间隙和排气温度。
罗茨泵的各项间隙由泵的制造精度和装配精度、零件的受热膨胀、作用力引起的零件变形等因素决定。因为, 零件的受热膨胀对各项间隙的影响最大, 所以要减少罗茨泵的各项间隙, 除提高泵零件的制造、装配精度及选用强度高的材料外, 还要对零件的受热膨胀进行控制。特别是大泵受热膨胀更厉害, 相应地, 各项间隙也要取得更大。
针对零件的受热膨胀, 我们认为可以采用以硅树脂为基料的绝热涂料, 对转子表面、泵体内腔、两侧盖与泵体连接表面进行喷涂处理, 以隔绝压缩气体产生的热量传递给转子、泵体及两侧盖。而涂料本身的线膨胀系数很小, 因此可以大大减轻零件的受热膨胀对各项间隙的影响。这些涂料还具有防腐蚀, 防氧化的功能, 在石油化工厂, 冶金炼钢厂, 发电厂等高温部位及设备上已得到了广泛的应用。而泵体内的热量由装在泵腔内的气体冷却器吸收, 其结构见图1 所示。这样又可以降低排气温度,进一步降低罗茨泵的间隙流导。
1. 泵体 2. 侧盖甲 3. 侧盖乙 4. 降温器 图1 罗茨泵形式示图图















泵是传输液态体或使液态体增压的物理。它将原驱动力的物理能或许多冗余
讲叙了最常见的正空抽气泵的运作原因,并提供抽气图。
水环式涡流泵是液环式涡流泵中最喜欢见的一个。当工作上透明液体为水时,
罗茨泵是一种种无内挤压的真空箱体泵,一般是挤压比很低,故中、高真空箱体罗
螺杆式泵V密建立:就必须足够四位隔绝水平,也能建立隔绝积。从文中图
这段话讲叙了原子泵的通常结构类型和的工作常见故障图。
氧分子泵的抽气基本原理与机器泵靠泵腔容积怎么算转变 完成抽气的基本原理各种不同,利
抽滤泵的最主要的耐热性产品参数涵盖总流量Q、扬程H、成工作电压、轴工作电压N,小编就