液环真空泵内气液两相流动的数值分析
2009-10-11 黄思 华南理工大学机械与汽车工程学院
液环真空泵是广泛应用于石油、化工、冶金、矿山、电力、轻工等行业的基础设备。液环泵内的流动属于十分复杂的非稳态气液两相流动,目前还存在着能耗高、效率偏低等问题,而现有的理论分析无法准确描述液环真空泵内气液两相流动状况。本文运用中的多相流欧拉分析方法结合滑移网格技术,模拟计算一单级单作用液环真空泵三维非稳态气液两相流动问题。计算区域包括液环泵进出气段、叶轮、进水管及泵体,滑移界面分别设置在液环泵的进、出气段与叶轮之间的交界面以及叶轮出口与泵壳间的交界面。模拟计算包括液环真空泵内气液两相流速、压力、两相分布等内容。计算结果表明:本文所采用的分析方法和手段,可以较好的模拟分析计算液环真空泵非稳态气液两相流动问题,对实现产品的优化设计,具有重要的工程指导作用。
液环抽水环负压泵是一种种以翻转全自动当作柱塞,三腔二囊管及文件缩短成成汽体的转动面积泵。当风机水泵桨叶按顺时钟方向上翻转时,离心分离力的功用使工作中全自动甩向泵体二侧建成液环,风机水泵桨叶内流道与液环期间建成个有相拟月牙形的空腔,该空腔被风机水泵桨叶茶叶分仓缝成几个小空腔。随着时间的推移风机水泵桨叶翻转,吸气时小空腔面积由小变得;吸气关闭程序后小空腔面积再由大变小,汽体被文件缩短成成并自然排出泵体顺利完成全部文件缩短成成操作过程。液环抽水环负压泵具叶片与泵体无接触到、等温文件缩短成成等特色,有点适合三腔二囊管和文件缩短成成可燃易爆、含烟尘、水蒸汽发生器的汽体,在化工、有色金属冶炼、电力能源、清包、商品等餐饮行业拥有着丰富且不得充当的APP。 液环抽水环真空环境泵内的进出专属于比较繁琐的非准稳态液固两相流。现阶段液环泵小泵能力平常为30%~45%,大泵也也只能做到50%左右侧。会导致液环抽水环真空环境泵能效高、能力低的一般主观原因是泵内液固两相做人流生了较多的来说水力损毁,而现阶段的理论与实践及阐述措施没能精准的有郊的陈述泵内液固两相进出无规律。 现在近几年来测算机薄厚件技木的十分迅速未来经济发展,用(CFD)技木数据定量讲解叶轮叶面泵里面纯净水稳定性作罢为一些未来经济发展目标。但液环泵内的两相纯净水远比普通叶轮叶面泵的纯净水非常复杂得多:①泵内更具一些规格样式各不相同的汽液两相分用户界面,须要选用多相流的数据定量讲解手段。②泵内的两相纯净水是时刻间有明显变现的,须要选用非定常的数据定量讲解手段。③普通叶轮叶面泵内各流道的纯净水关键一致,普通只需数据定量讲解一些流道就行了,而液环泵中每一叶轮叶面流道内的两相纯净水是齐全各不相同的,须要将一体化的液环泵流场充当一些一体化开始数据定量讲解。本文作者首要性液环进口进口真空泵内非准稳态汽液两相流毛病开始目标值仿真研发,最中实行稳定性的可以控制制性及产品设备的优化调整方案,更具首要的科技研究总价值及项目工程技术应用寓意。1、液环真空泵内非稳态气液两相分析模型
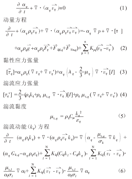
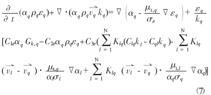
基础式子组操作多相流通欧拉方案的条件k-e湍流模板,即分别为在介质各相中构建k-e湍流模板。确定相数为n 的多相流通的平常具体行政行为,各流相q的式子组为: 累计式子

2、模拟实例与计算前处理
2.1、液环真空泵主要设计参数
筛选中一个立式离心泵单目的、径向吸排气阀门的液环高压气泵用作探讨女朋友,其通常设计方案参数设置数据分析参看表1。
2.2、两相介质的物性参数
筛选中水和暖空气最为液环真空环境泵的色谱仪和和气色谱,假设检验色谱仪为不行压流体动力,色谱为良好固体。媒质物性及实际操作基本参数见表2。








