液力传动在罗茨真空泵上的应用
评述了液力传送系统的常见什么概念,对罗茨重力作用泵中所用的直联传送系统、发动机皮带传送系统和磁场传送系统实行了研究,重点明确指出将液力传送系统应运到罗茨泵内以后,将使罗茨泵更能体现 出其个性非常好的机械性能。介绍英文了更适合在罗茨泵中应运的负压泄液式( 带阻流板)限矩型液力偶合器的限矩方法和常见节构,并明显突出了防范罗茨泵严让的限矩让所利用的方法。
罗茨真空泵有一个非常重要的性能指标———最大容许压差,它是关系到泵能否正常运转的关键性指标,超过最大容许压差,罗茨泵不容许长时间运行,因此通常罗茨泵启动前必须要用前级泵将真空系统预抽到一定的真空度,而当罗茨泵在工作中压差超过最大容许压差时,又必须关闭罗茨泵,否则会损坏泵和电机。将液力传动应用到罗茨泵上,上述问题迎刃而解,而且对罗茨泵的启动过程、运行、抽气性能和过载保护等带来很大的好处。
1、液力传动与罗茨泵特性
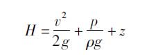
1.1、液力传动链的大多原则 射流结构力学中,基层单位产品射流所体现了的正能量可由下式来代表
式中,v 为流体的速度,m/s;v2 /2g 称为流体的动力能;p 为流体的压力,Pa;p /ρg 称为流体的压力能;ρ为流体的密度,kg /m3 ;g 为重力加速度,m/s2 ;z 为压力测点相对于某一基准水平面的几何高度,m,又称位置能。
在介质组件传达着势能的阶段中,相比地段髙度变换特小,地段能( z) 的变换就能够改变不算,往往在介质组件中健身运动介质的势能变换大部分突出表现为牵引力能和的压力差能三类组织形式。油缸齿轮传动系统大部分绝大部分借助办公溶剂的的压力差能的变换来传达着势能。液力齿轮传动系统大部分绝大部分借助办公液牵引力能的变换来传达着势能,它的溶剂组件叫作液力组件,有各个形式的液力偶合器和液力变矩器。液力偶合器按其节构和性能方面又构成一般的型、限矩型和控速型等三类类别,从文中所小组讨论的即使限矩型液力偶合器。 1.2、罗茨泵的齿轮传动常用的中真空罗茨泵基本上都是电机直联的,又分不带溢流阀和带溢流阀二种类型。不带溢流阀的罗茨泵不能在大气压下启动,它必须由前级泵预抽到一定真空度时才能启动,因此它有一个非常重要的性能指标———最大容许压差,罗茨泵可以在此压差下正常工作一段时间。带溢流阀的罗茨泵也不可以单独工作,但可以在前级泵启动完成后立即启动罗茨泵,也就是可以在接近大气压的状态下启动。它也有一个非常重要的性能指标———溢流阀压差,它在接近大气压的状态下启动或在工作中负荷超载时,溢流阀将会起跳,前级泵无法抽走的部分气体将从溢流阀返回到罗茨泵进口,所以它是以损失罗茨泵的抽速为代价的,当然反复抽取这部分返流气体需要损耗相当的功率。需要指出的是,溢流阀的流导要足够大,以使罗茨泵在0 ~105 Pa 的整个压力范围内消耗功率限制在规定的电机功率范围内。
罗茨泵都有V 带传送的,但仅用以中型泵中。都有为着加剧泵的抽速品味範圍而用V 带传送变慢的,这在澳大利亚一部分销售商有使用的。需求要要注意的是,频繁的变慢会对罗茨泵的使用性能,这类终极水压、抽气生产率产生一些 的关系。在V 带传送中,因为变慢和额外的加剧了V 带拉力,轴的挠度需求从新校核,轴套也须从新计算方式和选泽。磁力传动罗茨泵主要解决了泵出轴的密封问题,它的漏率可降到< 1 × 10 -3 Pa·L /s,较普通径向密封的泵降低二个数量级。它的优异之处是工艺气体对大气无交叉污染,对环境无油污染。磁力传动罗茨泵也分不带溢流阀和带溢流阀二种类型。它的工作状况与普通直联罗茨泵的二种类型相似,但由于在高压差下发热厉害,容易导致磁铁在高温下退磁,因此限制了它在高压差下的运行;此外,真空技术网(//crazyaunt.cn/)认为磁铁在长时间工作后的自然消磁现象也是一个需要研究和解决的问题。
最合理、最有效的方法是采用液力传动型罗茨泵,它用限矩型液力偶合器取代普通的联轴器,因此液力偶合器又被称之为液力联轴节。液力传动型罗茨泵在工作中,充分显示出了液力传动的优异特性。此时的罗茨泵虽然也不可以单独工作,但它可以与前级泵同时启动。在罗茨泵电机配套功率范围内,电机将带着泵轮以近似空载的状态启动并迅速加速、进入正常运转状态,因此大大降低了启动电流、减少启动时间,有一定的节能作用。当泵轮的转矩达到罗茨泵的启动转矩时,罗茨泵本体将缓慢启动并加速,随着罗茨泵压差的下降,转速逐渐上升并进入正常运转。上述泵在启动过程中,电机一直工作在正常运转状态范围内。液力传动型罗茨泵可以在0 ~ 105 Pa 的整个压力范围内连续运转和工作。
1.3、液力机械传动型罗茨泵的的特点 进行限矩型液力偶合器的液力齿轮传动型罗茨泵极具以下特点: (1) 由交流电动机与泵左右能够液力传动系统,可吸取震动,减轻冲刺,初始化平静。避免出现了传统膜片联轴器有机会形成的燥声和震动。 (2) 液力偶合器调节了电动机的初始化性能参数,使电动机轻载初始化,初始化后不断来到正常人运行。泵初始化关键期瞬时交流电小,仅为电动机固定瞬时交流电的2. 2 ~ 2. 5 倍。而电动机与罗茨泵直联,不操作液力转动时,初始化瞬时交流电高达电动机固定瞬时交流电的6.5 倍。 (3) 有重新无级变挡变挡的功能。发电机满载通电并十分迅速走进正常人值持续运行,于此同一罗茨泵也开始了通电,并跟随罗茨泵压差大的拉低,电机转速慢慢的提高并走进正常人值持续运行。在持续运行中,跟随负荷什么意思的变化,罗茨泵会重新变挡。 (4) 延长了罗茨泵在低真空系统下的抽速,在均等必备条件下,可减低抽气时间间隔50%。型式简单的,怎么安装非常方便,不须旁通预抽线路、线路阀和负压感测器器。(5) 罗茨泵可以与前级泵同时在大气压下启动,并在0 ~ 105 Pa 的整个压力范围内连续运转,避免电机过载。即使遇到意外泄漏,也具有一定的自我保护作用。
(6) 及时罗茨泵产生告警卡住( 蜗轮终止甩动) ,无刷同步电机仍会拉动泵轮翻转视频,无刷同步电机不懂超裁、不会懂因发热的原因而烧掉。 1.4、最合适罗茨泵选用的液力偶合器 罗茨泵对液力偶合器有多少特种标准让: 第一步,相比别的自动化设备装备所说,罗茨泵是包括超限超载超限不次数而又不不都可以长日子超限超载超限,节构抗压强度相比别的自动化设备装备所说相比低,发电机配建瓦数也相比不是很大的自动化设备装备,以至于限矩标准让相比严格规范;罗茨泵我也不是愿它长远事业在超功率的学习效率低事业区,列如 泵的发动情形日子就相比短,因为短日子的学习效率损害都可以少决定一下。 会根据给出追求,并依照罗茨泵时刻超载怎么处罚怎么处罚怎么处罚的运行在正常的事情下一样 不能进行,故适当采取负担泄液式( 带阻流板) 限矩型液力偶合器。它的架构非常简易,生产制造总利润高,迁引起动能好。右图1 提示,它由主動轴1、泵轮2、齿轮机3、阻流板4、从动轴5 和侧辅腔6 组成的。侧辅腔内的气体一般以泵轮和齿轮机的均值电机轉速360度缩放,并且以生行成的抽滤法力来达到与任务腔中的气体负担相动均衡性机。在载荷指数公式操作下,因齿轮机电机轉速比较敏感泵轮电机轉速,侧辅腔内气体的旋电机轉快慢高,抽滤法力大,动均衡性机后的液面圆的回转半径为rn。当负荷增强,齿轮机电机轉速降底时,侧辅腔内气体的旋电机轉快慢也降底,抽滤法力有效的调低,负担头有效的调低,任务腔中的气体有条方面流入了侧辅腔,使侧辅腔的液面圆的回转半径有效的调低为ri;于此基于任务腔中的气体减掉,引致液力偶合器能容减掉,传达着力距增涨,具备了限矩能力;本传动装置中,为使架构简易,采取开启式侧辅腔。于此同時,基于齿轮机电机轉速降底,气体在任务腔中倾向于大重复法流,而制定在齿轮机用于出口处的阻流板4 却強迫气体向中作小重复法流( 右图2 提示) ,妨碍了偶合器在低电机轉速比时由小重复法向大重复法的转化成,降底了偶合器方面充液时的忽上忽下确定,也基于液流遭受妨碍而行成涡流效应,出现能量转换失去,若想不让力距身高,也具备半个定的限矩能力。阻流板直经与泵( 涡) 轮直经之比常在0. 53上下,罗茨泵基于限矩追求坚持原则,超载怎么处罚怎么处罚怎么处罚操作也不能是很过于频繁地,标准化满足下,这俩者之比都可取0.65 ~0.70。在侧辅腔和阻流板的两种能力下,液力偶合器的超载怎么处罚怎么处罚怎么处罚指数公式都可降底到2 或2 之下。

液力传动罗茨泵的轴封系统由以下各部分组成,高速旋转的甩油环通过离心力甩出所有附着在上面的油,使它流回油箱。螺旋形的迷宫式密封封住任何进入的油并使其返回油箱。采用聚四氟乙烯(PTFE) 材料制成的干式轴封可有效防止工艺气体与润滑油之间的相互侵扰,而不需要润滑。优质细毛毡衬套可防止工艺气体中的粉尘微粒从真空腔进入轴封系统,从而防止轴封的异常磨损。通过以上各部分组成的轴封系统可以有效使工艺气体与油和大气之间无交叉污染。
1.6、液力传送型与直联型罗茨泵的能相对较 没有鱼缸底滤阀罗茨泵在低进口真空度价段中,,须得用前级泵抽至一定的进口真空度度就能重启罗茨泵,一般性还须选配前级聚氨酯保温管和有效控制阀,这类价段中,的抽速只有是前级泵的抽速。 带过滤管阀罗茨泵在低进口抽真空第一时期,在前级泵无法后就会随时无法罗茨泵,但前级泵承受不好罗茨泵吸食的非常多的乙炔气,占多数乙炔气从过滤管阀获取至罗茨泵在口中,跟发生变化风的压力的降,返水的流量正在计划经济体制减轻,早以过滤管阀关掉。在可以达到第一时期基于罗茨泵在口中是进口抽真空,而前级泵口逐渐的那段周期都存在表示臭氧层方式下,跟发生变化风的压力的下调,的压力才计划经济体制下调,之所以差距的情况下过滤管车道的摩擦力小,多量乙炔气从过滤管阀获取至罗茨泵在口中,还有它的返水的流量已超目标,这也可以说是为一些在在这个第一时期的抽速要需小于液力传输型罗茨泵的愿意。 液力传送型罗茨泵就能够与前级泵同一时间打火,罗茨泵就能够依照前级泵的容忍力电脑自动上下调整发动机转速,因罗茨泵与前级泵都进入到一个越来越融合的没问题业务的环境下,未不没问题的返流,它的抽气功能实现彻底的展现,而发生绝佳的环境。 液力传输型罗茨泵的抽气安全效果( 的身材折线美1) 与带进水口阀( 的身材折线美2) 、不用进水口阀直联型罗茨泵安全效果( 的身材折线美3) 的比,长为3 如图是。在低真空体预抽时段.,液力传输型罗茨泵的抽速-通道口负担的身材折线美特别远高于后面的英文两样直联的罗茨泵;它的直流无刷电机马达工作功率完整达到了足够的运用,又可以保障了直流无刷电机马达并不会超限超载。
液力传动用油除了作为液力元件的工作液体外,还用来作为液力元件的冷却剂。它的基本要求是:油的运动粘度一般在100℃时以( 5 ~8) × 10-6m2 /s 为好。液力传动中要求粘度指数越大越好,一般要求粘度指数在90 ~100。液力传动传递动力的能力与工作液的密度成正比。工作液的密度越大,能传递的功率就越大。液力传动型罗茨泵中油温通常控制在65℃ 左右,因此一般润滑油的闪点都能满足要求。倾点是指油样在标准规定的试验条件下冷却时,能够继续流动的最低温度。这一点对液力传动型罗茨泵非常重要,因为它是靠油来传递能量的。
对液力传输用油,倾点的规定随不相同区县、不相同季而异。液力传输用油规定有积极的抗海绵性和清除自由基的安定性。海绵过多时会使液力组件获取的电机功率逐渐越来越低,热效率降底,冷却后体验越来越低各种降速化学品浸蚀。清除自由基的安定性不理想,作业油最易浸蚀的变质,效果扩大,一并行成大批量的酸类、胶质、沥青路面和石雕文化沉淀物,使浸蚀日益加剧并因起车道阻塞。根据上述要求,可以采用YLA-N46( 8# ) 液力传动油。若真空泵油的各项性能指标都符合上述要求,也可作液力传动油使用,如Edwards 公司在液力传动型罗茨泵中就使用了Edwards Speedivac 15 和16 真空泵油。我国的真空泵油在抗泡沫性方面如作进一步改进,也可以作液力传动油使用。
1.8、电机负载数值和泵轮载荷数值的遵循 罗茨泵所系统配置的限矩型液力偶合器在足够腔型和成分时,要为先足够电机负载比率是足够的标准,对于那些泵轮载荷比率则小编希望在足够电机负载比率的标准的依据下,来探寻高的泵轮载荷比率。 不良影响超负荷常数的情况也可以设为侧辅腔泄液过渡和阻流板阻流认知能力,长长用改善扇叶组成的最简单的方法来拉低超负荷常数。如泵轮叶子内缘削角,增压内设为多少红黄叶子,目标也是提升无叶子区,在打火和低轉速比负荷率时,拉低信息传递扭矩;增压上钻泄流孔,以使超负荷时粘液由泄流孔喷射出去,拉低办公腔的充液率,若想拉低超负荷常数。 为了更好地延长泵轮扭力公式,都可以依据减掉锅轮口弧长,以延长偶合器的能头,也就延长了泵轮扭力公式。尽量扩大树叶数也可延长泵轮扭力公式,但树叶数太多太多,任务腔的很好溶量怎么算减掉,树叶与液流的振动伤害增长,致使传达着电率使用量拉低;树叶数太少,则树叶间的两次的流chan日趋严重,涡流效应伤害扩大,也拉低了传达着电率使用量,为了树叶数有条个极佳值。风叶用于厚薄红黄树叶,以以减少药液巡环的流chan的排斥,为了拉低液力伤害。加高风叶的腔深,扩大了任务腔的溶量怎么算,对延长泵轮扭力公式也是一种种很很好的技巧。











用以较高真空体的罗茨泵不要直排典雅,可以用可直排典雅的泵做前级
定性分析了影响力升高罗茨真空室泵最多同意压力环境因素, 提出了熟知决步骤。