关于涡轮分子泵的安全使用问题
文章说明性了关羽齿轮增压大分子结构式式泵防护运行的部分工艺困难。应先对齿轮增压大分子结构式式泵的组成特色作了推荐,之后对齿轮增压大分子结构式式泵的内部故障形式、故障因素实施了解析。后面从设定和运行上的防护应对对策实施了挑选,烦请更高的运行齿轮增压大分子结构式式泵。 泄压阀机碳原子式泵是1955年德国企业人W.Becker创造的一项快速路补偿器的物理水环蒸空泵泵泵。它也都是项大抽速可有高水准水环蒸空泵泵的新技术碳原子式泵。在每个用途前沿技术中的了广泛性的用途和广泛。1985年之初造成了了项运作压强区间更宽的大手机流量的和好式泄压阀机碳原子式泵,它可替代粘附泵+罗茨泵或泄压阀机碳原子式泵+罗茨泵。拉大了泄压阀机碳原子式泵的采用区间。在半导体器件创造机 采用以有洁面的高水环蒸空泵泵。现代人对泄压阀机碳原子式泵的提高深受给予重视。不断的造成新技术的整合式碳原子式泵。如可直排大气磅礴到高水环蒸空泵泵的整合泵用途更方面了、占房屋地面总面积也少了。 齿轮机氧大碳原子泵的滚柱的轮毂滚柱滚针轴承由有油润滑液的滚动式滚柱的轮毂滚柱滚针轴承和滑屏滚柱的轮毂滚柱滚针轴承向彻底非相处式的热空气滚柱的轮毂滚柱滚针轴承和磁滚柱的轮毂滚柱滚针轴承大方向趋势。定子的抽气机组有齿轮机叶面、盘式叶面和牵引机式槽式槽组成部分。有时动、静叶面间的孔径尚小,叶面挺长钢度差。随着运转异常,突暴包气到泵中,使叶面毁坏,根据受包气电机负载和离精力力的功效逐渐开始曲折共振,不超动、静叶面的孔径将要發生叶面相碰毁坏事故案例。进而,飞速平移的定子设备屡遭破环时有發生,故而管于齿轮机氧大碳原子泵的安会运转问题,曾影响过齿轮机氧大碳原子泵的设计者和运转者的非常重视和设计,以使齿轮机氧大碳原子泵在即线上营销软件与安会运转。
1、涡轮分子泵的构造
图1随时为磁滑动联轴器式增压机大氧分子泵的连接结构。类似这些泵是由定子动片、定子静片、电动机、滑动联轴器和机壳等核心部件组成的。图1写出的就是种可换取高真空体的增压机大氧分子泵。另一定子系统为增压机式动片、静片。两者之间间接运用排列成而成,平常有20~40级。 图2图甲中为半导生产加工设施时应用的美国大阪高压气产的大留量挽回式涡轮增压碳原子泵的的内部设计图。 该泵的高涡流级为增压式叶面,低涡流级为迁引式回旋槽抽气装置。风机叶轮叶面为平面磨的二维图行。增压叶面的外径更加小,约为100~300mm,必然还是有最大的。与撑起叶面的转筒作成一产品 其运转惯量较少(约0.02kgm2)。可能开发加工技术设备的进步作文,定子的升降二级抽气第一单元做成内置式的定子筒体状。泵的钻速比为20000~90000r/min。定子叶面最顶的圆外刚度约为250~300m/s。这是由于定子叶面的刚度越高则泵的性能参数越高。有时候,被定子筒体状的用料刚度被限,一般的常使用比刚性好的铝镁金属属或钛镁金属属作定子筒体状,而泵壳则用不锈钢材质的或铝镁金属属开发。这个泵的特殊性是级数多,钻速比高、开距小、准确性好。

2、涡轮分子泵的故障分析
涡轮机团伙泵的软件装置故障是原因机械厂真空度泵的轮毂轴承软件装置,驱动安装软件装置已经外因等现身方面一会儿促使的。上面仅讲解促使滑片嫩叶和滑片圆柱的毁掉的部分时候。 2.1、已损坏的等级分类 涡轮增压分子式泵已已损坏更严重的电脑故障是髙速转动的叶轮叶片或电机转子筒的崩裂。而是是哪某种已已损坏,假如有了泵就需要报废期。 当定子和电机定定子叶轮树叶伤害时,可能定子和电机定定子上的每种个叶轮树叶的载重量约为1~5g,叶轮树叶非常薄,毁损时引发的电量较小,而且在髙速旋转视频的具体步骤中,若有一种叶轮树叶瞬息(二十多μs三岁)伤害就要使得定子和电机定定子上的整个叶轮树叶遭遇伤害。在最后定子和电机定定子被剃成秃头。在现实的app上这类现象是希少的。但就不是也没有形成过。 图3及图4为电机定转子叶轮受损的具体方法。



3、安全的对策
3.1、的设计上的的安全控制措施 在定子的设计时,要确定转回体建筑体的剪切力阐述,能够有限公司英文模块法计算出和电测剪切力法对其通过核验,亦有配电镜确定机构成分查看。要制止剪切力集结,实验室气体负荷什么意思的安全管理率要合理合法设置。快速路转回体要做精密仪器的动和平,动和平取重时要制止开裂呈现,防范腐蚀不锈钢,疲劳值损毁。甚至有时候要作超转数可靠性试验以绩效考核配件屈服强度。 前苏联好的书籍中如下准许的凸凹不平量为: D允许=6.4m/n(g·cm) 式中m———旋转叶的的质量,g;n———旋转叶的转数,r/min。 工农业用的齿轮原子核式泵叶尖上边的圆上的速度慢约为150~200m/s,而现在的齿轮原子核式泵的圆上的速度慢则高至350~450m/s。是因为受原材料程度所限好少再高的。于是在叶尖的结构设计上获取等程度的观念,使叶尖的茎部的钢板厚度或高度向外急剧变软或缩小。有着 在叶尖外缘处加矩形或轮箍的以增大叶尖的弯曲刚度和程度。 齿轮大分子泵运作转数的进行,一样都远超一阶临介状态转数,所以说再启动和停止设备运转都经历一阶临介状态转数,如此会进而引发泵瞬时的震动幅度式幅度大。关键在于排除这样的干扰,在来设计传送系统软件时,设备的主轴的轴套较常用雷韵压簧或蝶簧支持力下轴套外侧排除轴套时候严防滚动。弹性力一样为2~4kg。关键在于消振,在轴套外接生再生胶阻尼环。阻尼环公称直径上的胶圈的减少视频视频量为14%~16%(如Φ3.5生再生胶环减少视频视频量为0.5mm),阻尼环的外径上的胶圈的减少视频视频量为8%~10%(如Φ3.0则减少视频视频量为0.25mm)。阻尼环内在因素、外在环境有胶圈的反应是将内层震动幅度式幅度大转成风能而消除,能对震动幅度式幅度大起隔離反应。 增压氧团伙泵采用惰性空气(N2、Ar)来保护措施轮毂滚针轮毂的滚动轴承套防锈水。常规增压氧团伙泵被抽空气可与轮毂滚针轮毂的滚动轴承套防锈水油什么是自由触碰,如若被抽空气与泵油起电学表现则会受损轮毂滚针轮毂的滚动轴承套的防锈水使用性能,使轮毂滚针轮毂的滚动轴承套事业感受到损伤,影响到泵的健康安全事业。举列,泵透析灌流CF4、SiH4、SiCl、SF6等空气。化解这点现象刚开始的有效的方法是用某种得以有电学表现的泵油。鉴于价位奢侈,转动保险费用高,而被二是种有效的方法所替换。即在设定时下设一部可供应信息惰性空气内充的气路向上轮毂滚针轮毂的滚动轴承套的右上角,慎防止被抽气与轮毂滚针轮毂的滚动轴承套触碰。内充气 体的大分子量要大点,能够 取得较高的进行压缩比,使其返流困境,防患未然充进空气对泵出口压的的影响。故而充进空气要选定 比较适合的压和集中供热量。而且惰性空气比耐浸蚀的泵油的花费廉价,故较为常用此法来保证油对轮毂轴承的湿润。想要不使滑片溫度过高,在设计方案时要决定转 子与泵体间的温度升降的。锅轮氧氧分子泵马达定子和转子叶轮与被抽混合气体氧氧分子滚动摩擦生热,使快速旋转的马达定子和转子和泵体之間存在温度升降的ΔT,一般而言如同下算式![]()
例:若泵抽空气K=3731,设n=24000r/min,Pf=2×10-2 Torr=20mTorr,将值代入上式则得:




莱宝公司也有这方面的实验和的确定规则,对他们生产的泵在均匀和脉冲磁场中,磁场顺着轴的方向Bmax为1.5×10-2 Tesla,而垂直方向时Bmax值为3.5×10-3 Tesla,它是以转子的温度达100℃作为Bmax的确定原则的。
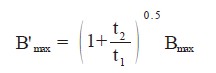
举例说明:TurboVac3500型涡轮分子泵中定子和转子盘之间的间隙为1.5~2.0mm,工作在脉冲均匀的磁场中与轴线正交。规定转子温度为100℃。t1=15s,t2=285s,B=3×10-2Tesla。在同样脉冲4×10-2 Tesla时,温度达到100℃经过35个脉冲。
叶轮温差T的计算出来好似下实践经验计算公式:![]()
γ=1.18×106度/Tesla2;
α=8.5×10-5;
t为耗时。在非均匀的磁场条件下,泵无故障运转,对应的Bmax=6×10-2 Tesla/cm,磁场梯度为7×10-4 Tesla/cm,转子的温度达到100℃,而转子的频率要降低10%。
3.2、动用上的稳定策略 仍然蜗轮团伙泵用便捷,由于得到了丰富的技术应用和常见。有时候,高速路的退回体,块钱诬陷搞坏或有能力转变对设计的受到破坏是无从估量的。所以说用者对于以下务必要有较高的高度重视。日本国曾要求蜗轮团伙泵安全防护用规范及放出扭矩软件测试手段的小编建议以受到用户账户需注意。机械泵泵的功用很广,用的具体条件也多种各样多元。如用的任务压力差,被抽固体的类别和的性质有所差异时,中需要决定到的应对办法也就有所差异了。如硬物的溶入,吸气口处装有保护区的金属件网,网孔的规格马上影响力泵的抽气学习效率。由于,对多种应对办法要综合评估来要决定到其效用。以下所谈的以下难题都开始文章材质上自身的。其他人对于以下无感性认识自己的认识自己,不正确的在所一而再再而三,恳求指责不吝赐教。











蜗轮分子结构泵高速运转时值得需要注意的有几个情况
泄压阀原子核泵在某一等方面,要比较低温度泵、铁离子泵和分散泵成绩得更优质越
简绍了锅轮碳原子泵的任务原则,节构结构十分优坏处。