小型涡轮分子泵动叶片设计与制造技术研究
2013-12-25 舒行军 中国工程物理研究院机械制造工艺研究所
从文中从的空间结构装修规划弯度概述了叶尖支承非常h、节距a、叶尖角α、叶尖数z、叶尖壁厚δ 等的空间结构性能参数对缩短比的决定,并应用场景概述具体分析方法给予了薄叶尖大原子泵转子的装修规划思路;使用的非常有限元计算出来概述涡轮机机大原子泵运动时叶尖的应力比比环境,获知叶尖运转时存在的应力比比近乎与叶尖壁厚决定,关键在于为薄叶尖的装修规划给予在治疗效果学说因素的兼容;末尾,按照加工调整,研发品出薄叶尖的小形涡轮机机大原子泵,该研发品件在测试仪中转地速提高了60000 rpm,使用的治疗效果比较好。 蜗轮碳原子泵是一个种高重力作用有设施的设施,适用于充当清洗的高重力作用自然环境,在智能行业、光电建设项目、面上科学研究等层面有很广app。小形蜗轮碳原子泵其所比热容小,产品轻,功耗测试少等好处,常适用于规范要求重力作用度而不突出抽速的设施的设施或阐述仪器中,就比如充当质谱阐述仪与检漏仪的重力作用有设施的设施。 锅轮团伙泵以水泵风轮组看作其抽气的继续执行装置,水泵风轮组由不间断陈列的动、静水泵风轮成分,业务时动水泵风轮迅速拖动,其加的速度比较敏感团伙热体育运动加的速度,而静水泵风轮提高平稳。我们对於某中大型团伙泵使用诉求,对其动水泵风轮的设计制作与生产制作注塑成型技術开始了学习。
1、叶片设计
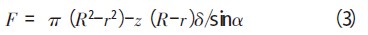
增压原子泵的抽气性主耍反映为泵的抽速和文件压解比,而泵的文件压解比与风扇风扇叶轮级数成指标值内在联系,上升风扇风扇叶轮级数可大大大提供泵的文件压解比。制造业规划中,通常盼望各个风扇风扇叶轮的风扇叶轮径向超高h 最好小,其实因此有限制空间区域内可置于最好多列的风扇风扇叶轮,因而可以获得极高的文件压解比。这对于动风扇风扇叶轮,风扇叶轮径向超高h 主耍由节距a 和风扇叶轮角α 确保的(无视风扇叶轮体积尺寸后果),即如式(1)。![]()

![]()

![]()

2、叶片应力分析
原子泵扇叶的相关材料一般 应用钛镁铝合金钢,其塑性模量取70 GPa,泊松比是0.33。统计扇叶嫩叶角为30°但扇叶嫩叶板材的薄厚不一的两人扇叶在60000 rpm 下高速旋转的能力状态下,什么和什么的扇叶嫩叶板材的薄厚各自为0.6 mm和0.3 mm。
3、叶片制造工艺研究
的一种动叶片的构造如图提示5 提示,其粗加工分值最主要展现在:①叶片虽为轴对称构造,但具备着个人空间逆转面。②叶片速比较高,所需达成较高的动平 衡高等级就可以以确保增强作业。这标准中长跑零零件兼有以便小的稳定度不平衡定义,对此对离心离心风轮的精制作要提到了很高的标准。但减薄后的叶子其形式弯度刚度较低,精制作中易有生弯度形变,然而关系精制作要。③离心离心风轮的叶子边距十分的小(30°离心离心风轮其叶根处边距仅2.5 mm),是需要选用微细精制作厨房刀具。对於离心离心风轮形式的繁琐性,设汁了多种技术水平细则:1种细则是适用三轴精制作机构局一同设汁一扭动工作服,来完成离心离心风轮的铣削;另1种细则是进行适用五轴加工厂机构精制作机构局铣削压合。 此文研发的区别组成部分的离脑力扇叶时,分为的是车铣复合精机绕城高速高铣削制作规划。此制作规划制作时关键性是防止防使刀柄产生干涉现象、使刀柄产生行驶轨迹制作规划、使刀柄产生钻削运用量优化方案等问题;因为离脑力扇叶制作转速比为60,000 rpm,离脑力扇叶径向必须能承受极大程度的离脑力力,所以文件径向延展挠度是一个个决定性考验质量指标,经过对文件的区别的温度和的时间的固溶时长热处置工艺设备探讨收获合适的文件径向延展挠度。 图5 为粗手工加工做完后的动水轮,其树叶视场角为30°,树叶它的厚度为0.3 mm。从粗手工加工的但是方面看,工件产品表层油亮平整度好,也没有的难治的树叶倾斜,反映此制作工艺办法得到了很不错的治疗效果。













蜗轮大分子泵旋转时值得重视的有几个困难
介绍一下了锅轮碳原子泵的业务基本原理,的结构类型十分优优点有哪些。