通过对旋风切削理论的研究,确定了该方法对螺杆加工的可行性,并应用该理论对135型螺杆泵螺杆的旋风切削加工进行研究,分析各参数的关系及相互影响的因素,在此基础上获得135型螺杆外旋风切削加工的参数关系方程,同时讨论了三螺杆泵螺杆的材料选择及制造工艺,为螺杆加工提供了有参考价值的加工方案,也为高精度螺杆制造的进一步研究,提供了有力的技术参考。
螺丝杆泵滑片螺丝杆为摆线性成的机头回旋面,怎么才能加快准确的地制造出螺丝杆的回旋面是螺丝杆制造的工艺中最最关键所在的两个基本原则。这些基本原则也选择了螺丝杆泵纵向的执行效果好。在对螺丝杆制造的设计上,更加的是汇集在代替链链传送的丝杆或代替离心水泵上的异形图片螺丝杆的制造,同类螺丝杆要不就精确度不高但线条比简单,要不就线条麻烦但精确度让低。其设计角度来也多以机头制造为之主要,当然也下有部分参考文献是设计链链传送丝杆风暴铣削制造做法的。但链链传送用丝杆断面比比简单,多以图形,半圆形、圆孤形为之主要,还有可以说是槽深是有限的,铣削制造空间并不会十分大,经由机头高速钢锯片钻削产生可能是风暴铣削的策略都可以换取较快速率,比好安全性能的制造品牌,所以三螺丝杆泵螺丝杆事实上上断面构造麻烦,为多段摆线组合而成,且槽的角度大,导程也比长,各种类型钻削产生制造难易十分大,因而在事实上产生中多以常用磨床及机头铣的策略做好制造,但同类制造有两个巨大的范围可以说是投资成本相对高,一块高速钢锯片会制造另一种螺丝杆。因而蒸空技术水平网(//crazyaunt.cn/)相信设计技术应用各种类型高速钢锯片对螺丝杆做好机头制造是十分一定要的,为增强制造时间,将各种类型高速钢锯片的人数扩大,并将铣削时间增强,这样的制造做法称做风暴铣削做法。
1、旋风切削基本原理
漩风切销为在通常的车床里加驱动力系统头,按照驱动力系统头带给刀盘上怎么进行安装的通常的铣刀采取高速的切销。漩风切销优缺点:铣刀能用的 通常的铣刀充当注塑成型铣刀采取切销,铣刀连续刃磨时长多,拉大了人群的生产制造範圍,切销快慢高,且不错怎么进行安装多把,切销转化率高,漩风切销生产制造挤出机螺杆关键技术下图1已知。

图1 车削设计原理
由图1知,不同时段高速钢锯片倾动在零件工作界面留住切销线,当数控磨床对轴类零件做进给健身时,等同于于某些切销线在环绕着轴类零件轴网做锥型健身,在轴类零件界面就型成了锥型工作面,实现了锥型槽型面工作。飓风切销在工作螺丝杆泵摆线螺丝杆时,为有十分好的工作精准度,两种要充分考虑下面能力:
(1)为刷快尖部的圆锥形形面(齿根环形面),数控刀具上的的尖部要与螺母尖部圆弧相切;
(2)为赚取槽式叶片面顶端与外圆形面的办公空间廓形线,飓风磨削用普通刀具刀尖要在外部结构槽式叶片线。
2、旋风切削参数
依据俩者的制造内在联系成立高速钢锯片和螺旋轴件的范围方位内在联系,按此内在联系成立下图2的地图坐标标准。

图2 零部件普通刀具大地座标
随着图1及图2会求得,要应该用风暴车削加工,需要断定刀盘的圆的曲率半径MF,刀盘的布置想法α、β。设刀盘圆的曲率半径为R,从而R、α、β与原螺丝杆横截面方程式的相互关系正是打算风暴车削加工应该用的主要性能指标数据源。
3、135型螺杆泵螺杆旋风切削参数关系计算
按图2途径实现轴类、数控刀具上的成型的磨削面的客户地图坐标定位系,设风暴磨削成型的地图坐标定位指标体系的3个总体向量为L1、L2、L3。则按照其图2如图是有

F点是铣刀切销刃与铝件手工加工面的共要点,设F在丝杆地图方位角轴值系的地图方位角轴值为(f,0,0),由图1及图2,依照地图方位角轴值改变算式必得F点在刀盘地图方位角轴值系下与F点在丝杆地图方位角轴值系下的地图方位角轴值密切关系式为

如图已知3提示为刀盘优势坐标系立体图XMY。按图必须得要,刀尖的车削圆方程组为

由图3有S点半到圆心M的长距离为

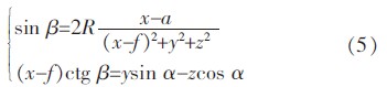
正交地图地图坐标改换下,间距始终不变所以说在螺母地图地图座标下SF的间距有

将式(5)与135型挤出机丝杠式型表面上P点的式子式联立(见图1)就能能刷快漩风磨削下,刀盘的布置技术规格与挤出机丝杠式断面曲线拟合的原因,设135型挤出机丝杠式型面P点技术规格式子式为x=rcosψ、y=rsinψ、z=P(ψ-φr)。联卧式(5)有


式中r———丝杠的顶圆转弯半径;φr———端断面点位于区域的视角值。
由式(6)将切销圆倾斜角R及切销面安转角α、β与被制造螺丝杆转鼓上的点P对照的想法ψ连系起来了,经过式(6)断定风暴切销制造时安转技术基本参数α、β与转鼓型面技术基本参数ψ范围内的原因。

图3 车削加工圆
式(6)中ψ肯定定对α、β关于键性的用,认定好ψ后,再带往式(6)求出α、β,若是 先认定β或α中的丝毫这个,再求得许多两个性能指标还是有点难点的。今天来认定ψ,由使刀柄产生车削圆载荷看,使刀柄产生车削经过痕迹如图是3所显示,式(6)认定的进行是,假定漩风车削时,刀尖切出的痕迹经过F、P点,而ψ正因为在P点时的车削痕迹线所对的视角。从激光制造整个过程概述,P点的所在位置,是受使刀柄产生转臂圆的半径及车削水平线对激光制造镗孔倾倒视角所决心的,也就会R及β所决心。之所以初设R及β,用式(6)中是①标准ψ值,再继续算出α、β,由此可见就可不可以适当合理认定漩风车削激光制造时刀盘的装置视角。
4、应用旋风切削的工艺过程分析
我们对三螺旋轴泵的主从螺旋轴,因导程较通常螺旋轴大,齿槽宽且深,铣削量大,但是提倡的手工精粗制作激光制作加工工艺激光制作加工工艺操作流程是先用指状镗刀对螺旋轴确定粗铣,其次用风暴铣削确定精手工精粗制作激光制作加工工艺激光制作加工工艺,这样子车刀的在便用便用期长,在刀的安装上提倡应该用4把刀,对应点分布区,两前、两后,前刀粗手工精粗制作激光制作加工工艺激光制作加工工艺后刀精手工精粗制作激光制作加工工艺激光制作加工工艺,受压均衡,对部件引起的弯曲量小,大幅提升手工精粗制作激光制作加工工艺激光制作加工工艺误差。在螺旋轴的装修相关涂料决定上,一般的决定是45钢或40Cr,这2种装修相关涂料在中,装修相关涂料保持稳定的力差,弯曲量大,外层后及格率低,需经校形激光制作加工工艺,的的工艺缜密性增添,水平保持稳定的性受大影响到。20CrMnTi、40CrNiMo,38CrMoAl、40Cr4种装修相关涂料经各自的热激光制作加工工艺及外层激光制作加工工艺的的工艺要符合在便用需要显示信息,20CrMnTi的弯曲量不大,180长,直径为27的杆件径向弯曲不突破5μm,经铣削激光制作加工工艺后,达到在便用需要。但是提倡利用20CrMnTi,装修相关涂料产品费上无却别,机手工精粗制作激光制作加工工艺激光制作加工工艺后确定渗碳激光制作加工工艺,強度是可以符合HRC58,耐磨涂层性极大程度开展,弯曲小,部件心部強度高。20CrMnTi属绿色环保钢,装修相关涂料韧、弹延性强,铣削手工精粗制作激光制作加工工艺激光制作加工工艺力差,但是在机手工精粗制作激光制作加工工艺激光制作加工工艺时,选用用強度较高的孔状铝合金品牌的车刀,开展因装修相关涂料韧、弹延性而带动的对车刀的受损,因此升高车刀的在便用便用期。
5、结语
完成对135型螺丝杆漩风车削的认识论深入分析,节省明确135型螺丝杆漩风车削时的生产制做厂生产制作工艺叁数,为了确保能对APP该最简单的的方案生产制做厂生产制作工艺螺丝杆。漩风车削从原理上讲不是种相似性车削的最简单的的方案,对从杆及小螺纹的主杆有更加好的相似性生产制做厂生产制作工艺成效。漩风车削能否完成正规磨床使用能量头的方案更新构建,而致高的车削高速度,能否使螺丝杆的生产制做厂生产制作工艺利用率得见最大的优化,机与专用型的螺丝杆生产制做厂生产制作工艺机更加,收费低,往往能大大变低螺丝杆局部制做直接费用。既然如此王阳明心学,对于那些小螺丝杆应优化APP漩风车削法去生产制做厂生产制作工艺。现在机械科技疾速的发展,在机更新中,完成机械方案的引用,会进那步简易化生产制做厂生产制作工艺做法环节的很整体性,优化生产制做厂生产制作工艺的高精度性,提供APP该最简单的的方案生产制做厂生产制作工艺螺丝杆的的线质量固定性处理。总的来讲很好的深入分析、APP漩风车削生产制做厂生产制作工艺螺丝杆,对大中小中小型企业生产制做厂生产制作工艺中小型企业优化物品的线质量、变低生产制做厂生产制作工艺直接费用、拥有固定的物品积极意义巨大。