地面驱动螺杆泵井合理生产参数配置方法
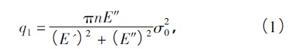
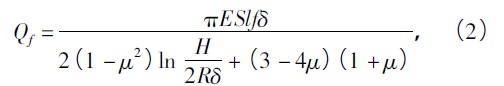
要正确的配制螺母泵井的产出叁数表,使井和泵切换,基本概念螺母泵温暖场及其泵内流体动力水压布局想象,以定子岗位先决条件和泵起升性能方面为法律规定,实现了室内地坪win7驱动螺母泵井设计设计技巧校核方式,建模了设计设计技巧校核图版。将产出设计设计技巧分布为“正确的设计设计技巧区”、“烧泵区”和“泵‘损坏’区”,入宪了快速点和程序有吸收率线性相融合的产出叁数表甄选方式,并用实在油井为例子来进行了算出讲解。可是意味着:高电机转速和高低泵长度会加剧定子温暖和泵起升宽度,当其超过了螺母泵的临界状态的使用值时即会吸引“烧泵”和泵“损坏”想象。在厂房应用中应按照其设计设计技巧校核图版上的快速点和程序有吸收率线性甄选最佳的产出叁数表整合,必免烧泵区和泵“损坏”区,以延长时间螺母泵井的检泵周期公式,提生划算收益。 地驱程罗杆泵井采油技能身为本身新起来的人工客服起升措施,由于有着较高的应运性,在中国大陆外石油气获取了普遍的应运。“十三五”哺乳期间,中国大陆罗杆泵的自主经营研发管理已经变成熟生活设施,但在实地现场应运中,因对罗杆泵的形态和井的种植实力认得存在相关状况,引起罗杆泵井的种植指标决定不和睦理.现有,地驱程罗杆泵井运转遭受的较大 相关状况是烧泵后果.如果提升 泵的使用期,增长检泵期是石油气业务者迫切需要化解的相关状况[2].近三以来,中国大陆外医学专家學者在井泵的连接各种罗杆泵井的原因与定时调节管控程序的建设角度想做丰富的业务,提供好几个定的成功.作者一开始对罗杆泵定电机定转子热度场分布图制作范围各种泵内流体力学有压力和热度的分布图制作范围法则来进行了调查.这篇文章在这个基础框架上保持地驱程罗杆泵程序载荷校核方式方法,对差异种植指标女子整合来进行校核具体分析,基于程序速度线条挑选最佳选择种植指标女子整合,并将统计最后绘加工而成实施方案校核图版。 1、数学3型号 1.1、定子生热率沙盘模型 螺母泵定子衬套产品含有黏弹力,在其变弯进程中,那部位养分被储藏,另那部位养分被消耗的资金生成成含糖量(较差生热),使温湿度增高.电机定转子翻转视频进程中计量单位时段内定子单无体存在的含糖量,即一般点位生热率有








