电子的介电常数研究
提出了电子介电常数的计算模型,从不同的角度得到了电子的非相对论散射截面,进一步得到了电子的非相对论性介电常数,发现电子是一色散介质,介电常数是波粒二象性的统一;得到了导体的等效介电常数,验证了所得电子介电常数的有效性;填补了此项研究的空白。
在基本粒子的研究中,电子是一个没有强相互作用的重要粒子,对其电磁参数、结构的全面研究对物理学及交叉学科的发展有着重要的意义;1897年,英国物理学家汤姆逊第一个用实验证明电子存在,并测量了电子的荷质比;1907年,密立根利用油滴实验测量了电子所带的电量,一个世纪以来,人们普遍认为112电子所带电荷为1,6×10-19 库仑,质量为9.0×10-31千克,经典半径约为2.8×10-15 米;自1973年Kroll和Waston122利用低频近似公式对低频电磁场中的电子原子微分散射截面进行计算以来,Geltman等13-82应用不同的方法对激光场中球形粒子、电子原子散射进行了深入的研究。实际上,电子与粒子间的相互作用以及与电磁场的相互作用的研究一直是学术界关注的焦点,然而,用经典理论或量子理论对电子介电常数的研究是一个空白,本文将从经典的电磁理论出发,研究电子的介电常数;具体构成如下:首先从不同的角度给出了电子的非相对论性散射截面,得出了电子介电常数表达式;接着将所得结果用于计算导体的等效介电常数,验证了所得结果的有效性;最后,给出了本文工作的总结、可能的应用领域及下一步将要开展的研究工作。
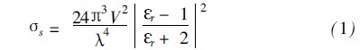
1、网上的表面电阻率 1.1、智能电子的散射断面 科学探析网络的导热系数将有到关键粒子束的企业内结构设计,一个个基性情的物理防御一些原因,需容量子基本原理对其进行科学探析,在精品的电磁振动器波场面积内,这一个一些原因不是有机会压根缓解的,所能够 然而只应该用在部分特色一些原因上;让我们假定网络一个个曲率圆的半径为R,比较导热系数为Er的光滑媒介球,网络的耗电量光滑的分布经济条件于网络的面;在到THz的面积内,电磁振动器波波的激发光谱欧亚于网络的精品曲率圆的半径,满意Rayleigh散射的经济条件,基本环境下,网络的的运作速率v远少于超光速c,比较论定律应该不计入1132,为此,可看来静置散射断面相当的运作散射断面;回收利用讲解法192应该能够 网络企业内的静电场: 该磁场为一匀磁场;电子为了满足电子时代发展的需求,的散射剖面为










