新型节能电磁换向阀的动态分析
2010-01-30 李松晶 哈尔滨工业大学流体传动及控制教研室
电磁换向阀的动态特性分析是电磁换向阀设计的关键,为明确各设计参数对新型节能电磁换向阀性能的影响,首先给出了新型节能电磁换向阀的数学模型,采用拓扑网络法,通过求解电磁机构的动态微分方程, 对该阀进行了动态特性仿真,并分析了磁钢厚度、磁钢截面积、线圈匝数和线圈电阻四参数变化对阀动态特性的影响,同时通过试验结果验证了数学模型及仿真方法的正确性,从而提出了通过减小磁钢截面积,增大激磁线圈匝数,减小激磁线圈电阻或合理选择磁钢厚度来提高电磁换向阀的动态特性的方法。
中国过去的磁感应控制回路阀享有在运转任务的时中应该一直以来都通电才行确保正常现状运转任务的的缺陷,然而白白浪费了燃料. 为克服害怕中国过去磁感应控制回路阀的所述缺陷,小说作家在专著中提出者好几回种新兴节能减排的磁感应控制回路阀,并对其采取了模形试验装置. 该阀由脉宽警报操作步骤,可在磁感应铁跳闸的现状下一直运转任务的,然而可开源节流燃料. 的动态性运行基本特征是电滋炉控制回路阀制定的要点,但其中的动态性运行时期极为主要. 近几年,在越来越多商务活动下,控制回路阀的控制回路时期是整体的平台增进迅速的性的阻碍,进而特殊要求不停增进电滋炉控制回路阀的运行极限速度. 今天借助情况图片功能模型模拟及产品参数影响与情况图片崩溃的精力彼此影响的剖析,系统阐述了加快所设计的电磁炉回转阀崩溃的进程的方法步骤.1、结构及工作原理
真空箱技术设备网上面中给出的环保型节能减排磁感应换相阀为选取极化磁感应公司操作的直动型两个四通磁感应换相阀,为维持可扩展性性,阀体组成这那部分仍选取传统化磁感应换相阀的阀体组成这那部分,仅对磁感应铁组成这那部分设施不断改进,磁感应铁的形式右图1 如图是.
2、数学模型
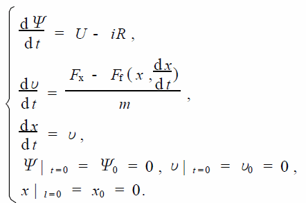
伴随所设计构思电滋换相阀重点于电滋铁位置的改良,所以动向计算方式应对电滋铁设计对其进行,阀体位置看成是电滋铁的根据. 电滋铁的动向数学中三维模型收录动向微分式子及磁路式子两位置,在这当中动向微分式子一下式(式中屏蔽涡旋导致) :




















针阀的气休商品流通压缩空气管上软件设置有小的孔口,缓解针状封密轴和孔口的距
阀体几何图表附号是对阀体简易的几何图表注标,一样主要用于制图等领域行业。阀体
提升了进囗的电磁波炉阀的制作行驶,之后制作了轻型某位三通接头大总流量电磁波炉
本段讲诉了氟胶圈角阀和全金屬角阀的运转目的简答组成部分构造图。
旁通液压式调节泄压阀安裝在操作员道终止回阀进口侧的旁通输送水管上,与
放气阀是向重力作用腔体里把手机通讯录废气,以破碎重力作用的止回阀(图1)。针对性超
的技术性发展调节阀 的作业机制
的技术性发展调节阀 的格局机制图和作业机制是
电滋感应阀是电滋感应电感通电后产生了种子链接诱惑刻服大弹簧的工作压力驱动阀芯运行
调低内六角螺丝能房屋赔赏阀芯阀块胶封面的划痕, 阀芯全是定的活動度能房屋赔赏