介绍了双级氧气减压阀的性能及受力情况。分析了弹簧刚度和膜片形状及膜片有效面积对阀门流量的影响。论述了阀门结构改进的方法及效果。
1、概述
双级氧气减压阀(型号YQJ11) 的额定压力为15MPa, Ⅰ级出口压力3MPa, Ⅱ级出口压力0~1.6MPa可调。由于双级减压, 安全可靠, 该阀多年来受到广大客户的欢迎。但是其在公称压力116MPa时的100m3 /h额定流量不能满足日益发展的生产需要, 为此通过改进阀门结构提高了减压阀的流量。
2、性能
2.1、工作原理
双极二氧化碳气排压阀(图1) 就是一种比较简单的双极心理汽压差调准器。因为超油田阀体下边受进气心理汽压差功用, 超油田阀体上半部受吸气心理汽压差功用, 超油田阀体上遭到不平衡点的功过度,所有称为背压式排压阀。该阀在原创的情况时, 进气阀在初始化弹黄片的功用下占据关闭系统的情况, 投入和模拟所在不同, 模拟所在口无汽压模拟所在。若顺时滑动调准自攻螺丝,调压弹黄片减小, 促进改革阀杆下沉, 进气超油田阀体遭打开,在模拟所在口有汽压模拟所在。若逆时针滑动调准自攻螺丝, 调压弹黄片松弛, 功用在膜片上的气心理汽压差高于弹黄片力,进气阀在下边进气心理汽压差和初始化弹黄片的功用下随膜片朝上移动式, 混合气物通畅适用面积缩短, 排压功用全面提升, 模拟所在心理汽压差上升。该阀右面是超油田级, 左边是低电压级。载荷系数15MPa的供气心理汽压差p1 从进气口所经铜粉沫冶炼过滤网迈入超油田级排压阀, 经排压后的外贸进口心理汽压差p2 调准到3MPa, 超油田级外贸进口的混合气物又迈入低电压级排压阀, 所经2、次排压后心理汽压差降为p3 从外贸进口模拟所在, 外贸进口心理汽压差的调准范围内为0~1.6MPa。

1.调准螺丝 2.调准扭簧 3.碟形膜片 4.阀杆 5.进气调节阀 6.回零扭簧
图1 YQJ11双极co2宣泄阀
2.2、承受了解
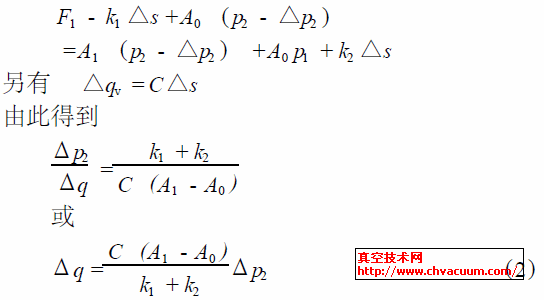
缓解压力阀的支座反力探讨如图下图2下图。阀地处稳定性量工作状态时, 力的稳定性量式子为
F1 +A0 p2 =A1 p2 +A0 p1 + F2 (1)
式中p1、p2 ———输入、输出压力, MPa
A1 ———膜片有效面积, mm 2
A2 ———阀瓣有效面积, mm 2
F1 ———调压弹簧力, N
F2 ———复位弹簧力, N

图2 减压方法阀受压研究
如果阀的导入水压差没变, 所在水流量下跌△qv所相匹配的的进气止回阀水压下跌为△s, 激发所在水压差下跌△p2 , 当可达到新的静态均衡性工作状态时, 力的静态均衡性方程组为

式中k1 ———调压弹簧刚度, N /mm
k2 ———复弹弹簧刚度, N /mm
△s———阀门开度变化量, mm
C———阀门开度与流量的比例关系
式(2) 表示了减压阀的流量特性, 它指出了改善流量特性有两种方法。一是减小弹簧刚度之和, 二是增大膜片的有效面积。
3、改进措施
3.1、减小低压级减压器调压弹簧刚度
从式(2) 判断急剧减小气压簧强度比之和, 行提生心理宣泄的方法阀的的2g流量数据。YQJ11单级心理宣泄的方法阀的高压血压舒张压高电非高压血压舒张压高电级特殊复制粘贴的压差差值差16MPa, 内容输送的压差差值差3MPa, 调压气压簧口径8mm、强度比750N/mm, 气压簧强度5 620N。非高压血压舒张压高电级的复制粘贴的压差差值差3MPa, 内容输送的压差差值差1.6MPa, 气压簧强度2 800N,仅为高压血压舒张压高电非高压血压舒张压高电级气压簧强度的1/2, 可能所采用的气压簧光洁度却与高压血压舒张压高电非高压血压舒张压高电级气压簧一样的, 复位键气压簧的强度比也是一样的为13.5N /mm。表明研究分析行得到, 非高压血压舒张压高电级调压气压簧的强度比一流, 情况严重损害了单级心理宣泄的方法阀的内容输送的2g流量数据。就此, 表明现实工程前提条件制作了有所有差异口径和强度比的气压簧应用在非高压血压舒张压高电级心理宣泄的方法阀, 并将非高压血压舒张压高电级的出口到处的压差差值差分为0 ~0.6MPa、0.6 ~1.0MPa 和1.0 ~1.6MPa6个等级分, 表明有所有差异的的压差差值差级制作有所有差异的调压气压簧, 的压差差值差高的气压簧硬, 的压差差值差低的气压簧软。经途测试仪, 出口到处的压差差值差低时内容输送的2g流量数据显著的提生(表1) 。渐渐气压簧图片尺寸的改变了, 的阀门型号规格设成YQJ11A、YQJ11B和YQJ11C。
表1 单级宣泄阀气氛2g流量软件测试
3.2、调整膜片形状
从式(2) 看到, 膜片的有郊性性占地面A1 越大, 宣泄阀的手机流量也就越大。路过老是的自测和探究肯定,碟形膜片的有郊性性占地面比平膜片小(表2、表3) 。但原始的高压变压器宣泄阀所采用有郊性性占地面小的碟形膜片, 是要能够满足出入口有气压高和构造紧凑型的规范要求, 怎样才行在出入口有气压高的时候下变小调准拉簧的功率因数补偿, 也就变改小调准拉簧的构造图片规格和宣泄阀的构造图片规格。
表2 YQJ11B型δ014膜片高效果空间表3 YQJ11C型δ0125膜片高效果空间
释压阀的口通径Dn 与门伐通径Dz 的有效测值关于的空气物料为0.6, 即释压阀的口通流范围An 与门伐通流范围Az 的有效测值为2.78。YQJ11低电压级释压器Dz = 7, Dn = 8, (An /Az ) =1.6 (门伐短信通道中顶杆尺寸3mm ) , An /Az 低于2.78。YQJ11B 所在负压升到了1.0M Pa, 在核定撒气口刚度合法的状况下, 将撒气口的通径由8mm 扩大到10mm, An /Az 由1.6扩大到2.5, 仅仅改造, 进两步从而提高了调节阀 所在数据流量。
4、结语
輸出用户的量是释放水压阀的一两个比较重要产品参数, 在能够满意輸出水压的原则下, 应当尽很有可能的挺高輸出用户的量, 以大阶段的能够满意用户的要求。完成对YQJ11 型释放水压阀方案科学合理的扭簧, 减慢调压扭簧的强度、安全选用合理的膜片, 如一定程度增加了膜片很好占地面, 如一定程度增加了出口量通径等工作, 挺高了释放水压阀的輸出用户的量, 纠正了释放水压阀的用户的量基本特性, 扩张了释放水压阀的安全选用范围之内。