取机械泵隔热板(Vacuum Insulation Panel, VIP)的长宽高为lp (m),长度为wp (m),重量为δp (m),隔气框架的重量δb (m),经流机械泵隔热板(VIP)学校地方的热国内流量数据为φp,cop (W),经流机械泵隔热板(VIP)总热国内流量数据为φp,total,板冷热水端环境室温都为te,ti ( ℃),其分析一下模型工具如2 表达。

图2 VIP 热桥定律限制元剖析物理化学建模
取隔气框架这段上的微元为科学研究对方,比如长宽导向为X 导向,厚度导向为Y 导向,微元在X 导向的能量传承情形如图已知2 如图所示。图下,φ1 为沿X 导向完成隔气框架传回微元的能量;φ2 为沿该导向完成隔气框架传过微元的能量;φ3 为完成隔气框架界面对流换热器系数换热器流往微元的能量;φ4为隔气框架传回芯层板材的能量。微元始终处于稳定时,是指:
φ1+φ2+φ3+φ4 = 0 (4)
选取微元的措施可将方程组(4)改变为:

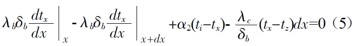
式中:tx 为VIP 隔气空间结构在X 方学习的室温,tz 为
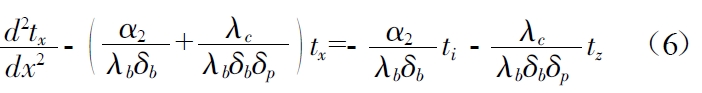
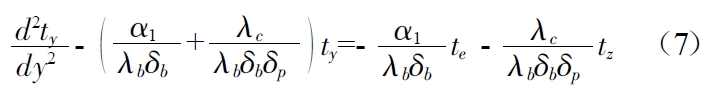
其在z 方学习的体温;λb 为隔气空间机构的传热数值(在X 及Y 方学习是致的),W/ (m·K);λc 为芯层的原材料的传热数值,W/(m·K)。假定隔气空间机构较硬是不规则且陆续的,δb 和其传热数值λb 是稳定平衡值,方程式(5)两端一同除了dx,取dx→0,易发:

同样的,在y 中心点及正空绝热材料板(VIP)单独外侧的表面,可能得以方程式式(7)

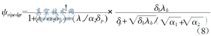
式子式(6)和式子式(7)形成了式子式组。结合起来ψvip,edge 及的边界必备条件,不错求得:

由式子式(8)可分辨出,会影响真空系统隔热板(VIP)热桥定律的重点性能指标是VIP 的重量、芯材的传热标准值、隔气构成的重量极其传热标准值。
全文阅读:
真空绝热板热桥效应数值分析及优化