三偏心蝶阀摩擦力矩分析
1、前言
三偏心蝶阀是在双偏心蝶阀的基础上,使蝶板的中心偏置一定的角度,形成三偏心密封结构,从而消除了蝶阀启闭时两密封面之间的机械磨损和擦伤,减小了驱动力矩。密封面位于斜圆锥表面,阀座和密封圈的正截面均为椭圆,这正是其设计和制造的难点及关键,也是目前不能准确计算摩擦力矩的原因所在[1]。
2、三偏心蝶阀结构分析
蝶阀的三偏心结构(图1)是在双偏心蝶阀的基础上再增加一个倾角, 经过最优化设计使密封副的摩擦力进一步下降, 由于采用面密封的结构使接触应力分布均匀、密封更加可靠。三偏心蝶阀的第一个偏心是指蝶板的回转中心L 相对于蝶板中心在轴向存在偏心距c,第二个偏心是指蝶板的回转中心L 相对于蝶板中心在径向存在偏心距e,第三个偏心是指阀座所在圆锥形的高线与阀体通道轴线有一个夹角φ,即角偏心[2、3] 。
图1 三偏轴碟阀的结构提示图对于三偏心结构的蝶阀, 由于轴向偏心距c的存在,保证了蝶阀密封面是一个完整连续的锥面,并且该密封面的几何中心容易确定,降低了密封面的难度。若密封面为正圆锥面, 则由于蝶板密封面的回转半径大于阀座密封面相应部位的半径,从而在关闭时蝶板密封表面不能进入阀座,即产生“干涉”现象,而采用偏心角为φ的锥面即所谓圆锥斜切可以解决这个问题。其密封面为斜置锥形,蝶板与阀座的密封接触为面接触,依靠密封面与阀座的充分接触来达到密封效果[4、5] 。
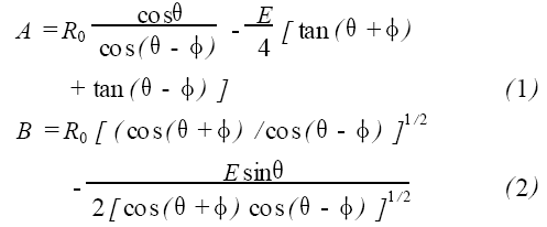
从图1得蝶板普通面圆弧的长半轴A 和短半轴B 区分为: 式中A ———碱式盐面椭圆形长半轴, mm B ———普通面圆形短半轴, mm R0 ———抽真空圆锥形底半经, mm E———蝶板机的薄厚, mm θ———封口圆锥体半锥角, ° φ———角轴力, °3、静力分析
当蝶板处于临界状态(即蝶板在关闭的瞬间)时,其上的作用力包括:密封面上的单位正压力N (方向垂直于密封面且为均布的空间力系)和摩擦力fN (方向沿密封表面并且阻止蝶板运动的空间力系)以及介质对蝶板的压力p (方向取决与介质流向) 。而摩擦力fN 与摩擦系数f有关,摩擦系数f与密封副材料、加工方法、表面光洁度和硬度、润滑状态及温度等因素有关,可以通过试验测试来确定其准确数值[6] 。
图2 蝶板支承表示
















介绍英文了LHC—28 /147型丝杆- 缸筒关联空液压机组丝杆缩小机煤层气分割