影响滑阀真空泵极限真空度的因素分析
2009-04-28 何敏剑 浙江真空设备集团有限公司
影响油阀泵极限全压力的关键因素是间隙。滑阀泵的极限全压力主要由极限压力(不可凝气体的压力) 和饱和蒸汽压(可凝气体的压力)组成。滑阀泵泵腔内的各运动部件间由于存在一定的间隙,在气体压缩排出阶段会有部分气体因压力超过进气压力而通过间隙返流,而进气口端润滑油的饱和蒸汽压与返流无关,因此返流影响滑阀泵的极限压力。
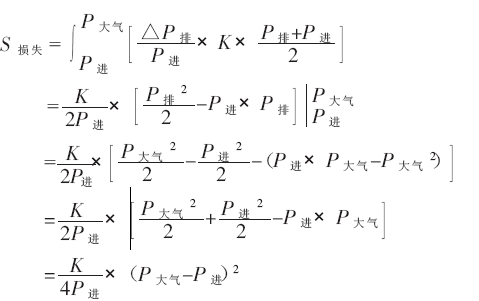
上面座谈空闲时间对滑阀泵极根压差的影晌。而言单极滑阀泵,返流引起的抽速亏损为:由于滑阀泵内的气流属于粘滞流,所以可设:
式中S 损失—— 单级滑阀泵的抽速损失
Q 返流—— 单极滑阀泵的返流的空气人流量 P 排—— 单吸泵滑阀泵的排气口压强 P 进—— 立式离心泵滑阀泵的进气的压力 C 宽度—— 滑阀泵各最主要活动件区间内宽度的流导 滑阀泵缝隙总的流导弹性系数 滑阀泵在进气压完成极限的压时,滑阀泵的实际上的抽速为零,泄压阀阀不停开起,可获得: 当滑阀泵达成極限学习压力时,滑阀泵的实际上的抽速为零,就: 式中S 理论研究上—— 单吸泵滑阀泵的理论研究上抽速 P 加速度—— 单极滑阀泵的理论与实践加速度学习压力 P 十足层—— 十足层各种压力上式推出单级滑阀泵的理论极限压力P 极限与间隙的关系,滑阀泵的实际极限压力总是大于理论极限压力P 极限,实际运行中,滑阀泵需要润滑油润滑和密封,润滑油的密封效果越好,实际极限压力与理论极限压力越接近;润滑油的密封效果越差,实际极限压力与理论极限压力相差越大,滑阀泵的理论极限压力是实际极限压力的基础。同时,由于间隙的大小会影响润滑油的密封效果,由此可以得出这样一个结论:单级滑阀泵的间隙越小,则泵的理论极限压力越低,润滑油的密封效果好,从而使得滑阀泵的实际极限压力低。
单级滑阀泵是由高涡流级与低涡流级并联电路图而成,发文用高缸代理高涡流级,用低缸代理低涡流级。一样,面对单级滑阀泵,返流构成的低缸的抽速影响由以上而犯: 式中S 低缸系统概念—— 双极滑阀泵低缸的系统概念抽速 P 低缸极致—— 双极滑阀泵低缸的极致压差 P 包气—— 包气工作压力 K 低缸—— 双极滑阀泵低缸孔径总的流导标准值 高缸在极限点的气压附近小区的返流为原子核流的情形,则此情此景高缸的宽度流导与的气压成正比,只与高缸宽度深浅一些,故而可设此情此景高缸的宽度流导为C 高缸。高缸还没有排气阀口阀,高缸的排气阀口的气压仍然与低缸的进气的气压完全相同,故而必得: 式中S 高缸系统理论与实践—— 单级滑阀泵高缸的系统理论与实践抽速 P 上限—— 双极滑阀泵的实际上限压强


















泵是推送液滴或使液滴增压的机。它将原行为的机能或同一静态
讲叙了经常用到的高压气抽气泵的运转设计原理,并拿出抽气图。
水环式蒸空泵是液环式蒸空泵中最喜欢见的是一种。当本职工作液态体为水时,
罗茨泵有的是种无内再压解的进口真空箱泵,常常再压解比很低,故中、高进口真空箱罗
螺栓泵V密达成:务必足够十二个良好的密封性性必备条件,功能达成良好的密封性性积。下面图
本诗讲术了分子式泵的基础组成部分和做工作设计原理图。
碳原子泵的抽气机制与机械装备泵靠泵腔容量改变做好抽气的机制区别,利
离心力泵的核心使用性能参数值涵盖的流量Q、扬程H、速度、轴输出N,小编就