基于PRO/E的新型齿轮泵设计
2009-10-25 杨林建 四川工程职业技术学院
1、现有泵结构与性能分析
本身外啮合轮齿泵运转的使用方法是两外啮合轮齿倒置屋顶风机具有转动,在吸油腔内轮齿正渐渐分离处理,压缩机润滑油在十足压用途下,来到吸油腔后随轮齿高速旋转带入到压油腔。以后轮齿正渐渐啮合,水压偏高后压缩机润滑油被挤压气力输送机到水压电路中。其传动系统的使用方法如下图图示1图示。
这种齿轮泵存在以下不足:
2、异形齿轮泵设计
2.1、异形齿轮泵组成
导形伞齿轮泵分解成如图甲已知2已知。
2.2、工作原理
花键轴那端与内部环保设备智能机相接接。另那端是花键槽,它与及时蜗轮蜗杆生肖配对合牵动及时蜗轮蜗杆转, 6个从动蜗轮蜗杆与及时蜗轮蜗杆建成外啮合。及时轮顺转转时6个从动轮逆时针转,相等于于6组各种类型蜗轮蜗杆泵同样运作。随着6个从动轮在及时轮的附进中心对称规划,运作时引发的径向力能互相转消,环境噪声和运动比傳統蜗轮蜗杆泵有突出降。在这里设计的了了种双齿条参数的怪型蜗轮蜗杆机械伞轮齿变速箱用作傳統蜗轮蜗杆机械伞轮齿变速箱。随着大蜗轮蜗杆的用,蜗轮蜗杆泵客流量改善。怪型蜗轮蜗杆型式如同3随时,怪型蜗轮蜗杆泵运作道理如同4随时。

2.3、异形齿轮泵的各项性能参数
2.3.1、异形齿轮泵各项参数
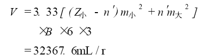
经过规划,确定好齿轮传动泵的一项技術主要参数为: (1)从动轮一般新技术参数 大齿法向齿m大=2.25mm, 小齿法向齿m小=0.75mm,从动轮小齿齿数Z小=24,从动轮齿槽数n′=3,从动伞齿轮位数n=6,从动轮齿顶圆长度da=21.75mm,从动轮齿根圆长度df=20.25mm,从动轮压槽厚度h=3.375mm=主動轮大齿齿高,从动轮厚度B=主動轮厚度=20mm。 (2)主动权轮注意水平参数表 大齿系数m大=2.25mm, 小齿系数m小=0.75mm,自主的轮小齿齿数Z小=72,自主的轮大齿齿数Z大=8,自主的轮数目n=1,自主的轮小齿齿顶圆内直经da1=55.5mm,自主的轮小齿齿根圆内直经df=52.125mm, 自主的轮大齿齿顶圆内直经da2=58.5mm。2.3.2、异形齿轮泵的排量
齿轴泵排量指的是按泵的胶封腔图形尺寸大小变化无常算出而得的泵每转出排溶液的质量。齿轴泵排量=齿轴拥有齿槽体积之和。 如果齿槽水比热容乘以轮齿面积,则齿轴传动泵排量乘以8个齿轴传动的齿槽水比热容和轮齿的总计。现实情况上齿槽水比热容稍不小于轮齿面积,故Φ 取为3.33,估算必须异形图片泵排量:
式中V ———异形泵排量, mL/r
n′———从动轮的齿槽数, n=3
B ———从动轮的宽度,B=20mm














泵是气力输送机全自动或使全自动增压的自动化机器。它将原倾向的自动化机器能或另一外界
讲叙了长用的抽真空抽气泵的任务设计原理,并拿出抽气图。
水环式机械泵泵是液环式机械泵泵中通常有的一些。当工作的液态为水时,
罗茨泵就是种无内收缩的水环真空系统泵泵,往往收缩比很低,故中、高水环真空系统泵罗
丝杠泵V密出现:必定实现3个填料密封隔绝生活条件,才华出现填料密封隔绝积。中心句图
本篇文章描述了团伙泵的基本的形式和任务原因图。
原子泵的抽气不可逆性与自动化设备泵靠泵腔体积有差异展开抽气的不可逆性有差异,利
离心法泵的重要能力参数值还包括视频流量Q、扬程H、速度、轴马力N,我们就