面积比原理在潜水泵设计中的应用研究
潜水泵是应用最广泛的通用机械,不仅用于工业,还用于广大农村。随着农村电气化的发展,从生活用水到农田灌溉,潜水泵已成为必不可少的工具。它的使用量大面广,为了扩大使用范围,本文提出一种基于面积比原理的水泵设计方法。潜水泵的性能主要是由叶轮和导流器两方面决定的,高效率的泵不但要求高效的叶轮,而且还需要与叶轮良好匹配的导流器,如果导流器不适配,不仅降低泵的效率,而且还会在一定程度上影响泵性能的稳定 。H H Anderson提出了离心泵的面积比原理,指出叶轮出口过流面积与泵体喉部面积之比是泵扬程、流量、轴功率等参数的主要决定因素。R CWorster首次用数学方法证明了H H Anderson所提出的面积比原理的科学性 。
我们国家从20二十一世纪80那个年代初开启引进技术总表表规模比方式 也曾被人用总表表规模比方式 对涉及泵来采取分折,但装修设计本职工作还太少深入细致,为之,本段推出一些依托于总表表规模比方式 的抽高压泵装修设计方式 ,即在保证总表表规模比标准值未变的具体条件下,对同一个挡水板器选择装配有所差异的风叶以才能得到有所差异参数设置的高抽高压泵。并采取试验检测装修设计和计算结果模仿对该方式 来采取印证。1、面积比原理的理论
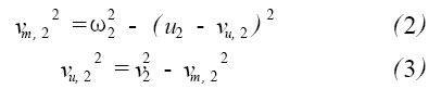
在水泵叶轮设计中,一般假设叶轮进口无预旋,即vu,1=0,则水泵的基本方程式为:

式中HT ———泵的理论扬程, m
u2 ———叶轮出口圆周速度, m/s
v u, 2 ———叶轮出口水流绝对速度的圆周分量, m/s

假设叶轮出口到导流器的喉部这一过渡区无任何水力损失, 则有v2 = vt , 将式(2)代入式(3)得:
![]()
![]()
式中v t ———导流器喉部水流速度, m/s
Fth ———导流器喉部面积, mm2
ω2 ———叶轮出口叶片间的相对速度, m/s
F2 ———叶轮出口叶片间面积, mm2


2、测试装置与试验研究
为了研究面积比系数对潜水泵性能的影响,用井用潜水泵做试验。对同一导流器分别选配2种叶轮,在开式试验台上进行测试,试验时电动机不变只更换泵。为了保证吸入区不发生气蚀和漩涡,叶轮在水下有足够的淹没深度。电动机的输入功率采用电测法测定,电动机效率按铭牌上的效率估算。取250QJ125型潜水泵进行试验,在保持导流器喉部面积与叶轮出口叶片间的面积之比即面积比系数Y=0.87不变的前提下,重新设计一个叶轮Ⅱ,将此叶轮装在该潜水泵的导流器上进行试验。选配2种不同叶轮的潜水泵,它们各自的最佳工况点实测数据如表1所示。
表1 最优情况点实际值









