涡轮分子泵电源制动单元的研究
研究了涡轮分子泵电源制动单元的设计、制动功率和制动电阻的计算方法。为涡轮分子泵选用理想制动电阻提供依据。根据此设计和计算方法为我公司生产的FD系列涡轮分子泵电源选用了最佳的制动电阻,使涡轮分子泵的停车减速时间大为缩短,该泵的性能和效率显著提高。
涡轮分子泵是一种靠涡轮高速运转来获得真空的产品。驱动涡轮旋转的一般为高速异步电动机,其转速高达15000~90000 r/min。由于涡轮的转动惯量大,受涡轮叶片的强度及刚度限制,涡轮分子泵必须从低速到高速缓慢启动。同样从高速降速停机也必须缓慢降速。涡轮分子泵电源实际上是一台专用的变频调速器。对其加速时间和减速时间的设定将直接影响涡轮分子泵的性能和寿命。
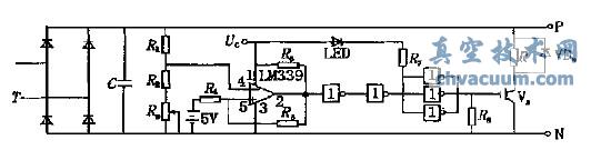
蜗轮机增压大团伙泵在其安全性高可靠的加速时光内泊车有五种方法。某种是公民权使用方法泊车, 即直流电动伸缩机取决于阻抗习惯公民权使用至止住。但因蜗轮机增压大团伙泵的做工作自然环境和自动运行性能特点,常见在各种泊车方法下必须要相当长的加速泊车时光,一般来说必须要1~2 h加速泊车时光。另某种是加速煞车方法泊车, 即蜗轮机增压大团伙泵主机电源区别安全性高可靠的加速泊车时光快速设置加速时光,直流电动伸缩机在其加速时光内加速泊车。区别形号的蜗轮机增压大团伙泵有区别的加速泊车时光,重要是由蜗轮机增压惯量的大小而定。 锅轮机原子式泵在其健康安全性的加速时内,以加速煞车的方式停止工作时,是怎样科学地设计构思行车制动系统器单位,人员配备行车制动系统器电阻值,将内在联系到锅轮机原子式泵开关电源及锅轮机原子式泵自己健康安全性可以信赖地用到。1、制动单元的设计
齿轮原子核结构泵以减速时煞车策略停止工作时,会因为惯性力,智能机运营频段低于齿轮原子核结构泵供电开关的输入频段,倘若智能机运营于发电站环境。环境下的机械能由同步电机换为成电,并用该供电开关的逆变桥IGBT管的反串并联肖特基二极管反馈到整流管路,如图随时1 随时。

1.1、制动单元电路设计
著者为锅轮大分子泵电构思好几回种刹车系统单园以下图所示3以下图所示,该电线的运作机理以下。
设UDC为电容C两端电压,电压比较电路直接检测该电压,当被测值超过设定允许值时,电压比较器翻转,输出端接近0 V,经逻辑转换后,触发制动单元的Vb导通。电容上的电荷经电阻R释放,使电压降低。反之,当该电压低于设定允许值时,电压比较器翻转回原先状态,输出端为高电平,经逻辑转换后关断Vb。
1.2、制动单元电路的计算
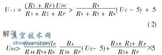
在线电压比器反转前, 正的电势为
为了使比较器翻转, 比较器的负端输入电压U-1必须高于正端电压U+1,因此有


仅当比较器的负端输入电压U-2低于正端电压U+2时, 电压比较器才会恢复到翻转前的状态,因此有

![]()

K = U+1/U+2 = 390V/361V = 1.08 ( 8)
设U+2= 4.8 V,则U+1=1.08×U+2= 5.2 V。设电源电压UC=15 V, 取R4= 2 k8, 由式(4) 求得R5= 48 k欧 , 依电阻规格取47 k欧 。又由式(1) 求得R6= 51 k欧。











齿轮碳原子泵运作时值得需注意的一个方面
泄压阀分子式泵在哪些 几个方面,要比超高温泵、亚铁离子泵和蔓延泵的表现得可選越
说了锅轮大分子泵的工作的关键技术,设计结构类型非常优缺有哪些。