分子泵性能测试的工程误差探析
针对当前普遍采用的分子泵抽气性能测试方法与程序,讨论用升压法测量涡轮分子泵压缩比时实测计算值与真实值之间客观存在的差异,并讨论用其测量复合分子泵压缩比的可行性;分析用滴管流量计法测量分子泵(涡轮分子泵和复合分子泵)抽速时可能产生的直接或间接的误差,并提出消除此类误差的基本思路,基于此思路,在实际工程中可得到科学可靠的更能客观反映产品性能的测试数据。
分子泵能耗低,使用方便,易维护,其在分子流区域( 涡轮分子泵) 和接近分子流区域( 复合分子泵)有稳定的抽气性能,广泛应用于高能加速器、重粒子加速器、可控热核反应装置、等离子体物理空间研究、原子束分子束系统、表面物理和分析仪器、高级电子元器件制造、半导体和光学元器件制造、真空镀膜、真空冶炼等涉及真空技术的电子、冶金、化工、科研等众多领域。
氧大氧分子结构结构泵具体抽气机械使用性能因素包涵平均工做学习水压、减小比与抽速。要只能根据现阶段普通选用的氧大氧分子结构结构泵机械使用性能测试工具仪方法步骤与环节,平均工做学习水压选用随便法预估,减小比选用升压法预估,抽速选用用户量法或细则流导法预估,而这三项评分因素的预估,从其实上概述是准许的,但在其实公程预估中,要只能根据其实预估能力,对涡轮机机氧大氧分子结构结构泵,减小比的预估值与完美值简单出现更大的相互影响; 而无所谓是涡轮机机氧大氧分子结构结构泵或塑料氧大氧分子结构结构泵,应用于滴管用户量计法的抽速的预估值与完美值简单也出现随便或外源性的确定误差,本段将逐个开始概述座谈会。1、压缩比测量
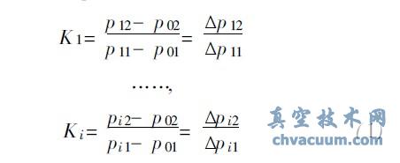
收缩的比测试适用升压法,能够 向被测泵的前级正空侧充进被测实验室气体以变动前级负荷与入口通道负荷,收缩的比由俩者变现量之参考值的量,测试的时候中首先需要形成最低值事情负荷。 设最少运作压差为p01,相关联着前级压差为p02( 前方p01、p02成为本底值) ,第i(i=1,2,3,4.....) 次充汽后,通道压差转换成p i1,发展量为Δpi 1,前级压差转换成pi 2,发展量为Δp i2,相关联着的缩减比值Ki,则有
《GB/T 7774-2007 真空技术涡轮分子泵性能参数的测量》中关于压缩比的测试规程未对前级压力的充气量作详述,但根据理论研究和实践证明,为了消除本底值对测量的影响,通过第一次对前级真空侧充气后,应保证对应的入口压力
p11= 2 p01 ( 2) 也即Δp 11=p01 ( 3)而对第二次( 含) 以后的充气量则不作严格规定。实际工程产品中,考虑到实际应用意义,加之由于条件所限,一般不对泵作极限压力( 无限制拖动和烘烤后,测试罩中最终趋近的压力值; 相比最低工作压力而言,此值在工程应用中意义不大) 检测,而对最低工作压力的检测有严格的规程和限制条件,其值是一个条件限制值而非趋近值,目前市场上的分子泵最低工作压力一般为10-6~ 10-7 Pa 量级。
假定一台压缩比为1.0 × 108 量级的分子泵(复合分子泵或涡轮分子泵) ,对压缩比进行测量时,其建立的最低工作压力为p01= 1.0 × 10-6 Pa,前级压力为p02= 0.1 Pa,按规定对前级第一次充气升压后,由式(1)-式(3) 可得:入口压力p11= 2 × p01= 2.0× 10-6 Pa,变化量Δp11= p 01= 1.0 × 10-6 Pa,则前级压力应为p12= 1.0 × 108 × 1.0 × 10- 6+ p 02= 100.1Pa,由此可见,即使忽略前级压力的本底值p02,前级压力都已跨越过渡流进入粘滞流。
由分子泵的抽气机理易知,涡轮分子泵仅在分子流态时有稳定的抽气性能,而在过渡流或粘滞流时,抽气性能急剧劣化,在实际测量计算涡轮分子泵的压缩比时,通过第一升压后,前级处于过渡流或粘滞流,泵的最末几级( 压缩级) 有一部分处于/ 未工作0状态,因此此时测量计算的压缩比值并不能表征真实值,这也是"GB/T 7774-2007中特别指出强烈建议使用另外一台分子泵或扩散泵作为前级泵以确保被测泵出口压力处于分子流态时测量才有意义0的缘故; 但若要保持前级压力一直处于分子流态,假定第一次升压后前级压力为0.1 Pa,则要能真实准确测量计算压缩比为1.0 × 108 量级的涡轮分子泵压缩比,即使忽略前级本底值,入口压力本底值( 最低工作压力) 应为1.0 × 10- 9 Pa; 但由前文所知,最低工作压力是一个条件限制值,一般不可能达到10- 9 Pa 量级,因此目前采用的升压法测量涡轮分子泵的压缩比,其测量计算值是不准确的,实际工程中也很难准确测出真实的压缩比值。通过理论研究和实践证明,目前采用升压法测量涡轮分子泵的压缩比,测量计算值会比真实值降低1~ 2 个数量级,若测量过程中升压间隔时间不当,导致入口压力与前级压力未达稳态,则测量计算值会降低得更多。需要特别指出的是: 与涡轮分子泵不同,复合分子泵由于牵引级的存在,不但可工作在分子流,而且还可工作在过渡流或粘滞流,前级压力变为过渡流或粘滞流时对泵的抽气性能并无影响,因此用升压法测量计算复合分子泵的压缩比是极为可行的,其测量计算值趋于真实值,且被测泵前级是否配置另一台分子泵或扩散泵并无关系。
2、抽速测量
2.1、滴管手机蒸汽流量计作业的基本原理分子泵入口压力大于10-4 Pa 时采用流量法测量计算抽速,而流量法普遍采用的流量计为滴管流量计,其装置如图1 所示。

令滴管直径为d,微调阀到滴管初始液面之间的密闭体积为V0,当地大气压为p at ,测量用液体密度为Q( 一般要求用20℃时运动黏度低于3 × 10- 5 m2/ s 的油) ,重力加速度为g,并作如下规定: 初始时:t 0 时刻,滴管零刻度线、滴管内液面、贮液槽液面三者平齐,易知,此时滴管内气体压力为p at; 测量计时开始时:t 1 时刻,滴管内液面上升高度为h1,微调阀到滴管液面之间的密闭体积为V1,滴管内气体压力为p 1,气体量为G 1; 测量计时终止时:t 2 时刻,滴管内液面上升高度为h2,微调阀到滴管液面之间的密闭体积为V2,滴管内气体压力为p 2,气体量为G2; 则有从t 1 时刻到t 2 时刻的测量时间内,滴管内液面净上升高度


![]()

(3) 测量开始前,对流量计密闭空间进行检漏,确保漏率不大于10-7 Pa.L/ s 量级。













蜗轮碳原子泵转运时值得提前准备的三个现象
锅轮团伙泵在某种层面,要比常温泵、铁离子泵和传播泵表現得選择越
讲述了涡轮机分子结构的泵的工作上原理图,结构的型号规格还有优点有哪些有哪些。