载荷分布规律对混流泵叶轮设计的影响
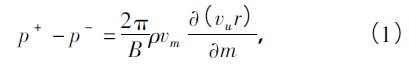
来源于四元反来装修设计的概念理论体系,将环量vur沿轴面流线的发展系数算作受力区域划分的操纵参指数值,用多段抛物线来描叙受力沿轴面流线的区域划分法则.为了能探讨受力区域划分法则对混流泵风机水泵风叶来装修设计的概念成果的后果,建造了“前载型”、“中载型”和“后载型”3种混流泵风机水泵风叶.来源于雷诺时均的Navier-Stokes方程组、SST湍流3d模型工具和多决定性世界坐标系系3d模型工具对3种风机水泵风叶内流场开展指数值仿真模拟,对风机水泵风叶的人体脂肪的性能参数和树叶表层负荷区域划分开展探讨.成果反映出:用多段抛物线认为受力沿轴面流线的区域划分法则是恰当的,来源于受力区域划分的树叶四元反来装修设计的概念能合理操纵树叶表层的负荷区域划分的性能;受力最高值点越紧靠导边,风机水泵风叶的扬程、耗油率和质量值越高;在来装修设计的概念精准流量的工作,前载型风机水泵风叶与后载型风机水泵风叶的扬程、耗油率和质量的有什么区别主要为18.30%,16.40%和2.01%;其他受力区域划分时风机水泵风叶人体脂肪的性能参数的有什么区别随精准流量的的提升而渐次显著。 叶尖荷载分散不均周期性是自吸泵桨叶的设汁的最为关键的技术技术运作,对桨叶效能有为重要干扰。近年来里,有较多在桨叶的设汁完全后再经过叶尖形状图片大全技术技术运作的优化设定来达成效能优化设定的论文参考文献资料公布。但在的设汁步骤中经过优化设定荷载技术技术运作分散不均周期性来能够效能品质的桨叶的论文参考文献资料却很多.现的阶段,的设汁者对叶尖荷载调整少于体力,通常会须要一大批的耐压试验测量就能够能够无法的要求的桨叶。 为了让提高自己制定过程中 中对离心风机桨叶使用耐腐蚀性的设定制方面,很必须的开展调研荷重规划规率对离心风机桨叶制定数据影向的的研究.文本中立于恩贝益反制定基本原理,将环量vur沿轴面流线的改变梯度方向为荷重规划的设定主要参数,以比转数ns=449的混流泵离心风机桨叶制定举例,在给定轴面流道样式和导边、随边位子的首要条件下,选用两种抛物线对荷重沿轴面流线的规划规率去概述,打造“前载型”、“中载型”和“后载型”3种离心风机桨叶.立于AnsysCFX12.0应用求得雷诺时均的Navier-Stokes(RANS)式子,对所制定离心风机桨叶内流场去指数值模仿,相对比较和概述选用与众不同荷重规划规率时嫩叶表层的气压规划形态和离心风机桨叶的能量转换使用耐腐蚀性。 1、叶轮载荷系数布局行驶 在风叶内传播安稳、无黏性且不宜降低的假定原则下,把入乎部的立体传播化解为周向均衡传播和周向脉动传播,用放至茶叶平台上的涡及源汇各分为取代茶叶和叶厚平衡场的影响,茶叶线条以考虑传播界限的的条件而更替判断.在茶叶设计环节中所需其他以上的的条件:①风叶的轴面轮廊,收录轮毂、轮缘和导边、随边的角度;②茶叶导边、随边的涡程度(即环量vur)沿径向的生长图制作;③从轮毂到轮缘的各条轴面流线下对照点包角的生长图制作;④茶叶的载重沿轴面流线的生长图制作。 叶轮叶面的载重(即叶轮叶面气压面与抽力面的气压差)与环量vur在轴面流线方向左的偏导数增进相应的,它们之间满意相互影响式:










