离心泵汽蚀现象分析及防汽蚀措施
2013-09-22 张娜 武汉锅炉集团阀门有限责任公司
主要介绍了离心泵汽蚀现象及形成机理,重点突出了两个主要概念:装置汽蚀余量(NPSHa)和必需汽蚀余量(NPSHr)。对吸上装置和倒灌装置,分别给出了装置汽蚀余量的计算公式。在此基础上,列出了提高离心泵抗汽蚀能力的方法。
1、引言
离心法法泵其所使用耐磨性方面能保持稳定、易实际操作和以便于售后维修等优缺诸多操作于工业生产领域和基本日常。学习的效率和汽蚀总水流量是是离心法法泵高技术含量的几个决定性使用耐磨性方面产品参数,二者互为搞好关系、互为克制。的设计时如苛刻最求学习的效率指数公式,则汽蚀总水流量指数公式可能较低。泵假如造成汽蚀,其水流量扬程使用耐磨性方面会走低,还突出表现出低频噪音、机械振动清晰过高,造成完会使泵中液流终止,不会正常情况下运作。汽蚀会对泵的过流控制部件制造伤害,以至于会影响导压管模式。 日前来确定抽滤力泵汽蚀总精准流量环境的最靠普办法是调查预估。判别泵是没有是汽蚀的基本准则是由澳大利亚来说水力环境协会会员(HIS) 制定方案的机械耐腐蚀性越来越低法,也就是以扬程越来越低3% 时试验系统化的平衡装置汽蚀总精准流量NPSHa为泵当下精准流量点的汽蚀总精准流量NPSHr。牟介刚等看作泵在有的差异的施用环境下自动运行,必须汽蚀损害的层次有有很大的的差异。这样,对各种的泵都用同一时间判据来研究方案方式办法汽蚀机械耐腐蚀性同用同个的办法来构思叶片是没有良好的。Terry 看作,理应依照媒介、泵比转数及及叶片外径的有的差异对已有调查办法得出的泵汽蚀总精准流量做校核才华更准确性地描叙泵的汽蚀属性。近些余年,时间推移计算方法计算出液体力学结构的转型和试验方式的进步奖,对汽蚀的研究方案由泵额定的点汽蚀的转型不可逆性电子助力汽蚀模以与检查高科技这个领域。涡流高科技网(//crazyaunt.cn/)从汽蚀总精准流量计算方法计算出公式计算出发考虑,概述形成汽蚀的缘由并给出避免 抽滤力泵汽蚀的政策。2、汽蚀理论
抽滤式泵业务时,水泵风叶由原因素驱动安装作快速转动移动,威协茶叶间的介质溶剂也陆陆续续作转动移动。时,因抽滤式力的意义,介质溶剂由水泵风叶学校向外缘作径向移动,陆陆续续入驻蜗壳。介质溶剂在经流水泵风叶的移动的过程中得到走势,液流入驻蜗壳后因过流占地的增多而加速运动,走势转换为压能。即利用泵的做功,介质溶剂从非高电压换为高电压保证货位的运输。 在离心式泵水轮无线运营中心处,鉴于液滴向水轮外缘进出养成压差大区,而无线运营中心来流还未兑换水轮的够人体脂肪,纵然无外物热能量带到,也利于展现压为如果低于液滴循环流化床压的原因,同时泵会引发空化汽蚀情况。汽蚀是液滴在进出中嬗成为汽体、再再现为液滴的时,即汽泡引发、开发及崩裂的时,从汽泡引发到消掉所有的时刻微妙,不是个繁多的技术性时。液化的最后也是在液滴中引发很多很多汽泡,汽泡中满是了液滴过热饱和蒸汽和一些容解于液滴中的有机废气气体。当汽泡随液滴开始超高压区时,汽泡都会很快崩裂,周圈液滴很快填色原汽泡空穴,引发巨型的应归腼腆爆破质地的空气冷却打击,而使得过热饱和蒸汽又重沉淀成液滴,汽泡消掉。汽泡崩裂时中,下有大区域汽泡是黏附在通气管部件表层上崩裂沉淀成液滴的,这大区域液滴犹如诸多这些细微的高頻冲击锤冲击废黑色金属表层,引发废黑色金属表层的侵蚀作用。3、汽蚀参数
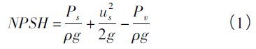
3.1、汽蚀留量NPSH 泵吸多口处机构质理的粘液小于粘液气化工作负压值的富足热量(以m液柱计),称汽蚀余下量。其值等于6从基准价面开始泵吸多口的总吸多工作负压值减去该粘液的气化工作负压值(绝压,以m液柱计),即:
ρ———液体密度,kg /m3
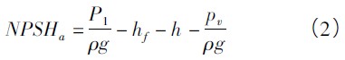
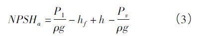
3.2、行之有效汽蚀空间NPSHa 有效性汽蚀数量(NPSHa),也即部件汽蚀数量,通常是指泵现在部件(或模式的滤油器)所具备的汽蚀数量,其规格由吸取到滤油器模式的主要参数值、按装间距和滤油器中用户流量等绝对的,与泵的构造不太相关。该主要参数值越大,泵越绝不轻松汽蚀。式(1) 经导出可求出吸上或倒灌生活条件下的部件汽蚀数量。 对上吸部件:

4、防止汽蚀发生或减缓汽蚀破坏的措施
防止汽蚀产生或放缓汽蚀破裂,应该从三个方位下手:1立方米面从泵装修结构设计和制造厂技术要选择:优化转子原装进口入液标准,调低泵的NPSHr,使泵的NPSHr 高于部件汽蚀裕量NPSHa,防止出现汽蚀产生;用团队紧密的高的级木头材质制造厂技术转子,加快泵的抗汽蚀破裂本事;另1立方米面从泵的方法标准要选择:完成节省方法系统装修结构设计和机械设计、准确方法,使泵不懂产生汽蚀。现分述如表: (1) 十分拉动泵平台闸道网套网套直径和扇叶平台闸道网套网套直径,减轻泵平台闸道液状体水用户流量,减轻NPSHr。还直观利用双吸扇叶,因双吸扇叶十分于两只单吸扇叶的平台闸道面积计算,亦是用户流量状态進口水用户流量可减轻两倍。 (2) 将树叶前额背部修薄,有效改善树叶填报志愿系统孤立,降底NPSHr。或改装诱惑轮,使介质液体渗入桨叶前增大了了定阻力能。 (3) 泵在更加接近汽蚀的环境下运作,如所适用聚集非均质的抗汽蚀装修材料(铜铝合金、不锈钢材质等) 生产泵转子能否加长转子寿命短。如用压延的板材悍接的转子较冶炼的转子抗汽蚀作用强。也能否回收利用非废金属建筑涂料所适用丙稀酸树脂胶、尼龙纤维、聚胺脂等对转子做出涂膜办理。(4) 管路系统设计时,泵的吸上高度尽可能低,条件许可就采用倒灌。配管时,适当缩短吸入管长度、增大吸入管径,在吸入路尽量减少不必要的阀门、弯头数量,以减少吸入管的管路损失。
(5) 泵选择型号时,出现装置设备汽蚀余下量低或导电介质易气化时,泵尽概率用低钻速。 (6) 对易气化导电介质,提前做好卸料管的隔热物理降温,不要所卸料介质液体的温度表增大。 (7) 泵在自动加载期间中,应合理合法利用泵出口国阀掌控留量在合理合法的范围图。泵偏大留量自动加载时最轻易冒出汽蚀不良现象。控制中,不准许用吸取到内部管道的阀门来可以调节留量。 (8) 泵会出现汽蚀又没有办法调整其加工过程因素时,可在泵出入口通道选配另一个喷管,进行泵出口处负担,使其高压电液状体活动,以过大泵出入口通道负担,减少汽蚀的有机会性。5、处理汽蚀问题实例
某水厂2 台取水泵运行一段时间后,出现振动、声音也大,水泵盘根处有气吸入,未见水向外滴落。解体后发现叶轮入口有许多凹坑,初步认为泵发生了汽蚀。进行排查发现:该泵设计流量7000m3 /h、扬程56m,由于泵出口只有拍门,无流量控制阀,实际运行流量8200m3 /h,也就是说泵长期在偏大流量工况运行;其次,入口拦污栅处有树枝和塑料袋等杂物堵塞。我们分析,造成泵汽蚀的原因是吸水管路阻力增加导致装置汽蚀余量NPSHa 降低;而运行流量的加大使得NPSHr 增大,最终导致泵发生汽蚀。处置措施:将叶轮改为钢板焊接的,将叶轮外径减小到合适尺寸( 即控制运行流量) ,并定期清理拦污栅,此后未出现汽蚀问题。







