根据春运地铁真空机系统集便机系统中的中心零配件中的一种———大方噴射出器,也是借助CFD 手机appFluent,研究分析了大方噴射出器在便用期间中,雾炮无线运营中心尺寸及锥角、雾炮喉处长、雾炮差异口尺寸及外径、增长管出无线运营中心尺寸及外径、增长管喉尺寸对大方噴射出器工做能力的的影响,故类大方噴射出器形式运作的来设计及提升带来了了说法保证和建议中心点。
1、前言
大气喷射器是一种结构非常简单的真空元器件,因其产生真空快、真空度高、运行可靠等优点,在化工、电子、机械等行业得到了广泛的应用。如环保、节能的新型旅客列车真空集便系统,大气喷射器为其核心元器件之一。其系统工作原理如图1 所示。

图1 重力作用集便装置的工作基本原理图示
以源即缩减气流为任务材质,经历滤减压方法阀进电离层引射器,使脏物箱体加快生产必须抽机械泵泵度,依据小便阀的解锁,将便盆内的脏物全自动洗胃机至脏物箱体,引射器重复将脏物箱抽至要抽机械泵泵度,等着之后任务。所知,引射器的抽机械泵泵生产時间、生产抽机械泵泵度等任务耐腐蚀性对机系统性任务呈现出至关非常首要的会影响。因而对其任务耐腐蚀性的钻研探讨,对机系统性中电离层引射器的应用、设计及推广呈现出非常首要的真正理论依据。文丘里管手机appFluent 在亚声速及彩超速还是流动性中己经经历了广泛算例的安全验证,不仅就能够达到具有准确度的耐腐蚀性参数指标,摆脱了手工diy计算的较为繁多、校正耗用较大的的问题,且就能够全面地钻研探讨室内具体情况的流场形状及匀称原则。因而本论文巧用其对电离层引射器做平均值仿真模拟钻研探讨。
2、大气喷射器结构及性能参数
2.1、典雅输送器的主要是型式因素
通过运作作用推测,气经过入口处至喷口喉部处越来越t加速立即音速,从喷口射出时热胀完成超音速。与吸到气味按份共有经扩张期管排出来后,时间减掉为亚音速。图2 为典雅压喷射器运作举手。

图2 电离层喷射式器上班表示
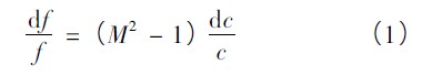
而是电离层磅礴喷涌器构成不是很缜密,但其中部还是流动量性时遭受的可减少的超音速混合着具体步骤是非常缜密,且存在着着激波的互相效果,这些增多了对其科研的很困难。迄今为止已经在的较多的教授用参数模以的办法对电离层磅礴喷涌器通过了日趋深入基层的科研,多见喷涌器构成长宽高相应的前提下,外部原则对其能力的反应科研。利用有毒气体和动运动学中2元定常等熵还是流动量性时通流截占地面积积与气浪的的速度任何事物的社会关系式:

式中f ———通流横截空间
M ———马赫数
c ———风速
由式(1) 得知,喷头和发展管的形式类型的形状图片大全长宽比对时尚喷出出器运行能指标各有决策性的不良不良影响。很多的探究中用实验或各值仿真模拟的工艺能够了喷头及发展管世界上最大孔径或喷头距等对耗气量及排气口量的不良不良影响有关。关于很多实际知识确定的时尚喷出出器定制工艺中,喷头、发展管的出口贸易到及出口贸易到的孔径、厚度和锥角等形式类型的长宽比写出的可是条件取值,实计的定制的过程 中的选取具有困扰。从而,对时尚喷出出器喷头及发展管出口贸易到及出口贸易到的形式类型的长宽比与运行能指标有关的的探究,其有喷出出器形式类型的参数表的定制及改善保证实际知识法律规定和检查指导方向上。
2.2、典雅压喷射器的常见功能性能指标
(1) 耗气量G1:指从管口外流的有害气体在国家标准状况下的的质量客的流量或密度客的流量。
(2) res排气口阀门量G2:指从重力作用口标准电源接口处吸进去的废气的的流量。当重力作用口标准电源接口同时与大气磅礴相接时,其res排气口阀门量主要,喻为主要res排气口阀门量。
(3) 负压度P:指工作任务情形下,电离层压强P0与负压腔的坚决压强差值。当负压接口协议压根密闭,即泄压阀量为零时,负压腔所取符合的负压度又称非常大负压度。
(4) 喷洒于数值u:排气阀门量G2与耗气量G1之比是喷洒于数值u ,为重力作用体遭受器办公学习效率的的指标。喷洒于数值越大代表抽液重力作用体强度越快。
2.3、大气质量输送器来计算绘图
文章将按照多余设汁的经验统计所得额喷涌器大多类别,常见几何体参数表如下3 如下。以十足喷涌器在旅游者直通车进口真空集便设计中的配用症状为本职工作生态,奥迪车汽源燃气管道安装位置为0.3 ~ 0.9MPa,且通过滤缓压阀调节器节。进气口配用重压进气口分界情况;进口值配用重压进口值分界情况,重压为101325Pa。统计做出非常理想汽体类别。做出藕合求根器,二阶迎风制式做出离散。操作流程重压为0Pa,即做出可以说 重压表示法。按照医学文献中的报告单对照,RNG κ - ε 类别在預測热空气激波、的平均重压不同等这方面更合理的,故湍流类别做出RNG κ - ε 类别。配用轴相交转动情况做完三维图与二维间的转为。物面配用无滑移、无渗流、隔热物面分界情况的标准化物面。

图3 下垫面输送器结构特征简图
图4 为输送器耗气量G1随事业实验室气态的压Pp发生变化规律申请这类卡种曲线提额,从图下可以知道,仿真虚拟仿真结局的输送器的G1随Pp发生变化规律的趋向与经过多次实验发现结局充分保持一致,耗气量均随事业实验室气态的压的增多而增多,两种钢材结局更大悬殊为8.8%,从而所写边际状态的設置和仿真模型选择对输送器的仿真虚拟仿真是准确性的,这段话分为上面的方案做仿真虚拟仿真剖析。

图4 耗气量随运转气休压力值变换
4、结论
(1) 发生优化办公有害气体工作的压力Pp範圍,使输送出器总合机械耐腐蚀性到优化。有效增高喷咀流量锥角和喉组长度可能急剧减小耗气量,延长输送出器办公机械耐腐蚀性。在优化Pp範圍内,喷咀流量锥角与喉组长度互相发生优化比,使输送出器机械耐腐蚀性优化;
(2) 耗气量受到雾炮口高度与内径的应响。在极佳Pp比率内,具备最优性投资组合雾炮口高度与内径的联系,使喷出器合理功效最优性投资组合。超过极佳Pp,最高机械泵度随雾炮口高度与内径的增长而有效的减小;
(3) 在压噴射出器整体风格尺码合法位置内尽也许 加剧扩充管的长宽及出口国长度,可能增强压噴射出器的事情耐腐蚀性。而扩充管流量长度的加剧影响于压噴射出指数公式的加剧,让压噴射出器的事情时间加快速度,但却使较大 真空箱度减少;
(4) 要能够能够快速的抽食进程都是要能够能够巨大的蒸空度,还要可根据实践运作中让参与决定了要较高的喷涌器的喷涌指数都是比较高蒸空度,选聘选定 是和的管口及扭转管结构类型设计。甚至矛盾律结构类型设计折中来考虑以提升 喷涌器总体运作中性能方面。