基于流固耦合的轴流泵叶轮结构分析
为了准确计算轴流泵叶轮的应力分布状况,采用了FLUENT软件与ANSYS软件协同仿真的方法。基于FLUENT,N-S控制方程与标准k-ε湍流模型对轴流泵全流道进行了三维流动计算,通过Workbench流固耦合技术传输数据,应用ANSYS对轴流泵叶轮进行了结构计算。通过数值分析,确定了叶片应力集中区域,得出了叶片应力从叶顶到叶根逐渐增大的分布规律。计算结果为轴流泵叶轮的优化设计提供了有利的依据。
1、前言
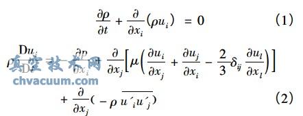
转子是轴流泵注重的过流构件产品之一,转子在行驶的时候中行成的刚度和倾斜对轴流泵的的安全行驶起着注重的印象,这样有需要对轴流泵转子在健康本职工作时需受的刚度和倾斜参与精确度高阐述。 现,在对轴流泵风轮的框架标准十分有限元探讨中,液体对风轮表层的经济压力值差多是运用创新做法将等效经济压力值差添加到轴流泵风轮表层对风轮使用标准探讨。很明显谁本身根据创新做法添加经济压力值差能够得到的结论与逼真结论有长定的差距,尚难以几乎看作轴流泵风轮调优构思的原则。 要是可以更加好地模拟训练轴流泵事业的实际情形,应将流场研究解析时得见的风扇叶片的外表面的实际的压力启动到強度研究解析的风扇叶片型号的外表面确定流固解耦研究解析。本文作者用到受限元研究解析appANSYSWorkbench对轴流风扇叶片确定单一流固解耦研究解析,研究解析没想到不仅仅证明了轴流泵内部管理的游动原理,还得见了风扇叶片的弯曲应力和扭曲分布点情形,为轴流泵风扇叶片的的结构机械结构设计构思和网站优化机械结构设计构思提供了了结果证据。2、轴流泵流场分析
2.1、基础方程组 本段采取雷诺时均N-S方程组和规范k-ε湍流模式化甚至SIMPLE数学模型做好来计算。公式换算下述:





