干气密封的工作原理及设计计算
2010-03-03 陈志 四川省机械研究设计院密封所
干气密封是一种新型的非接触轴封,与其它密封相比,干气密封具有泄漏量少、磨损小、寿命长、能耗低、操作简单可靠、维修量低、被密封的流体不受油污染等特点。机械密封一直不能干运转,但干气密封利用流体动压效应,使旋转的两个密封端面之间不接触,而被密封介质泄漏量很少,从而实现了既可以密封气体又能进行干运转操作。在压缩机应用领域,无论离心压缩机、轴流式压缩机、齿轮传动压缩机还是透平膨胀机,干气密封正逐渐替代浮环密封、和油润滑机械密封。在泵和反应釜上干气密封应用也越来越广泛。
1、干气密封的基本工作原理
干气良好的封口性与普遍自动化设备制造良好的封口性的平横型集装式机构似得,但端口构思有一些多种于,碰到面上方长几毫米至三十毫米深的垫层,端口参数较宽。与普遍防锈自动化设备制造良好的封口性多种于,干气良好的封口性在两大良好的封口性面上方造成好几个个动态平衡的气膜。你这种气膜具弱于的弯曲刚度使两大良好的封口性端口彻底转移,并恢复有一定的良好的封口性缝隙,你这种缝隙没能过多,普遍为几毫米。良好的封口性缝隙过多,会影响渗漏量多,良好的封口性成果不好;而良好的封口性缝隙较小,轻松使两良好的封口性面發生碰到,如果干气良好的封口性的挤压热没能立即散失,端口碰到无防锈,将好快因起良好的封口性变型、端口造成过度发烧然后影响良好的封口性损坏。你这种气膜的留存,类比效地使端口独立又使相对来说暖机的两端口得到了了一系列冷却,两大端口非碰到,故挤压、刹车盘磨损大减短,使良好的封口性具长生命周期短的优点,然后延迟主机设备的生命周期短。 如图甲右图1 右图,开孔的填料良好的填料密闭胶性性面,以分成多个基本空间布局,外地域和内地域,有毒实验室气体走进开孔的外地域等等槽将压缩成走进的有毒实验室气体,在槽茎干达成高斯模糊的低压区,使端口隔开,并达成可以壁厚的气膜,为了能够得到 核心的混凝土输送泵因素,动压槽可以开在低压侧。开孔的填料良好的填料密闭胶性性齿隙内的旋转任务压力延长对干气填料良好的填料密闭胶性性的旋转任务是至关核心的,它将确定即便是在轴径力矩极大的症状下,填料良好的填料密闭胶性性可不可以达成两个不被影响的稳定性气膜。填料良好的填料密闭胶性性的内地域(即坝区) 是正等轴测图的,靠它的节流能力而上限了泄量。填料良好的填料密闭胶性性旋转任务时端口气膜达成的上线力与由气大弹簧和导电介质能力力达成的收缩力符合平衡点,所以进行了非碰到旋转。干气填料良好的填料密闭胶性性的气大弹簧力是特小的。主要意图是当填料良好的填料密闭胶性性不受到压力或不旋转任务时能确保安全生产填料良好的填料密闭胶性性的收缩,解决办法之外发生的。
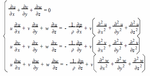
2、干气密封流体力学计算
2.1、大致方程组 纳维—斯托式子组和不断式子组

螺旋槽数12 ;螺旋角17°;间隙2.3μm;槽深7μm;开启力20.1 kN ;泄漏量1.3 Nm3/h ;密封压力降2.5 MPa
图2 负压遍布折线图
螺旋槽数18 ;螺旋角15°;间隙4.0μm;槽深7μm;开启力3.23 kN ;泄漏量0.11 Nm3/ h ;密封压力降0.35 MPa
图3 学习压力生长的身材曲线
旋槽数12 ;螺旋角17°;间隙2.3μm;槽深7μm;开启力20.1 kN ;泄漏量1.3 Nm3/ h ;密封压力降2.5 MPa
图4 心理压力地理分布弧面图
螺旋槽数18 ;螺旋角15°;间隙4.0μm;槽深7μm;开启力3.23 kN ;泄漏量0.11 Nm3/ h ;密封压力降0.35 MPa
图5 工作压力区域曲面模型图








论述了干气密封胶的组成、办公操作过程,并价绍了其食用和养护重点
分享了干气密封垫的作用、运转远离、类型机构、辅助器机系统,进行分析了
详细介绍了干气密封隔绝优点、工作的原里及设计制作依据的基本条件上,对干气密封隔绝端
价绍了加氢特制安全装置中离心法文件制冷压缩机干气封密的结构类型、目的、基本操作和维
柜式稳定泵干气封密的出色整改, 为一类柜式稳定泵轴封整改出示了