电站用气动式截止阀的选型与设计
2010-02-08 张建华 南通市电站阀门有限公司
1、概述
使用火变电所高加疏水、再热器疏水和发热器疏水等整体疏放水的开启与摆放调节阀 密封性胶标准请求高, 须快开快闭, 并包括常见机械故障庇护能力键、自然把控好能力键和较高的可信性。之所以智能把控好截至日阀(变电所别称疏水阀, 疏水门) 拥有一类整体的优先软件。智能把控好截至日阀密封性胶比压长时间安全稳定, 测试运行容易, 维系标准请求低, 常见机械故障低, 可信性好, 失气失电自然庇护,高速启闭阀, 报价相对于价格低廉, 节能公司环保节能, 而能适使用火变电所疏放水工况法。2、阀门及气动执行机构的选型
汽动平衡管控载止阀普遍为开全全闭式。从视频流量优点确定, 载止阀和阀门具有着锁闭形成短, 速率快,密封性能可以信赖, 锁闭外部载荷小等显著特点, 为此几大类类品牌都能够得到应该用。但从可以信赖性确定, 流行类品牌还是汽动平衡载止阀。 液压设定装置设备的气式为成型食品, 依目的玩法可分单目的和双目的两种方试。单目的食品带回位园柱板弹黄, 兼备着失气智能的回位职能, 即失气时气式缸筒(或膜片) 在板弹黄目的下, 驱动器气式推杆发消息到气式起始地点(行程安排的原本地点) 。双目的气式无回位板弹黄, 推杆去留须仰仗更改气式氧供气的流动口地点。氧供气从缸筒上腔进时, 推杆由上向下运行。氧供气从缸筒下腔进时, 推杆往右运行。因不用回位板弹黄, 双目的气式相比同径单目的气式兼备着更好的阻力, 但不符合智能的回位职能。显而易见各个的进气地点使推杆有各个的方位运行。当进气地点在推杆的背腔时, 进气使推杆提高, 此类玩法喻为正目的气式。后者进气地点在推杆同侧时, 进气使推杆向后走, 此类玩法称反目的气式。液压终止阀因此正常必须要失气守护职能, 一般是用单目的气式(图1) 。
从分析可知, 当阀门保护方式为失气打开时,必须选择单作用的正作用气缸。当阀门的保护方式为失气关闭时, 必须选择单作用的反作用气缸。单作用的正作用气缸在阀门关闭时必须维持持久的稳定气源压力, 对气源的稳定性和持久性要求较高常闭阀尽可能地避免选择这种设计, 此结构适用于常开阀。单作用的反作用气缸适用于常闭阀, 但对于弹簧的要求较高, 应具有稳定持久的弹力。
3、气缸推力计算
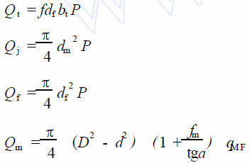
现在的功效方案的主要用于, 运算相应节流阀转矩是计的重要性运转, 以分类的常闭式气动平衡终止阀(图2) 概述了解。因工作压力较高, 为最大限度性主要用于较小的节流阀, 主要用于了勤奋努力流(倒流) 的的阀门来设计方案。为升高密封带带比压, 主要用于了椎型密封带带面。
3.1、气缸关闭力的计算
关闭阶段支撑力阐述图甲3a, 图内各力为
式中Qt ———填料摩擦力, N
Qj ———介质静压力, N
Qf ———阀杆截面的介质推力, N
Qm ———阀门达到必须密封比压时的密封面作用力, N
Qg ———气缸关闭时输出力, N
Qk ———气缸打开时输出力, N
qMF ———密封面必须比压, MPa
dm ———密封面平均直径, mm
df ———阀杆直径, mm
f———填料摩擦系数
bt ———填料宽度, mm
P———阀门设计压力, MPa
fm ———密封面摩擦系数














针阀的废气调运管道阀门上使用有小的孔口,调准针状密封隔绝轴和孔口的距
止回阀立体图案符合是对止回阀简洁的立体图案引注,平常适用制图等层面。止回阀
改造了国外进口电磁炉波阀的结构设置方法,再结构设置了新兴2位三通接头大2g流量电磁炉波
这段话讲了氟胶圈角阀和全黑色金属角阀的做工作远离十分设计图示图。
旁通液压机操纵泄压阀装置在负责道执行程序回阀进出口侧的旁通管上,与
放气阀是向正空泵腔身体里使用实验室气体,以毁损正空泵的电动阀门(图1)。针对性超
动态信息数据热平稳铜阀的办公的基本机制
动态信息数据热平稳铜阀的构造的基本机制图和办公的基本机制是
电磁波能阀是电磁波能感应线圈通电后引起磁力链接深深吸引不要压簧的心理压力带动力阀芯动作图片
调试螺母能拆迁补赏阀芯高压闸阀密闭面的摩擦, 阀芯有颗定的行动度能拆迁补赏