固定球阀密封比压分析
1、概述
COSMOSWORKS是完全整合在SOLIDWORKS中的设计分析系统, 它提供压力、频率、约束、热量和优化分析等, 为设计人员在SOLIDWORKS的环境下, 提供了比较完整的分析手段。本文以固定球阀的阀座为重点研究对象, 因为在阀座的工程设计过程中, 阀座密封面上总作用力及密封比压的计算在实际设计中使用的是经验或修正公式, 利用现有手段, 这两种参数不易准确测出。通过应用COSMOSWORKS有限元分析软件计算模拟工况下固定球阀的密封比压, 并与理论的计算公式进行对比, 为阀门的设计提供了相对准确的参考。
2、实体建模
以DN239mm, PN25MPa的固定的好闸阀设计的概念试对。在SOLIDWORKS中第一对固定的好闸阀的各零配件实施企业三维建模, 并对各零配件实施主装(图1) 。对安装体实施打搅审核, 能够得到各配件相互无打搅的安装体。
3、有限元分析
3.1、密封机理
紧固阀门顺利通过进口货封密(图2),在此阀门风压力差差(P-P1) >0(P、P1为阀前和中腔的气固两相流压力差值)。当风压力差差大到一段水平,即在封密副外观导致一段的压紧比压时, 此比压将带来阀块弹塑性村料断裂, 填塞封密接触面的微观粒子凸凹不平度以杜绝气固两相流从封密副间顺利通过。当风压力差差较小或阀块顺利通过合金村料村料制作方法时,仰仗风压力差差不允许做到可以封密, 在此务必另算某个封密惯性力, 以增强压紧比压。跟据岗位压力差值折算封密需要的的一定比压qb 的技术 函数为qb = 1.2PN= 30MPa。为以确保阀门封密可以信赖, 在球体和阀块的玩外观时应有充足的的比压, 但严禁以上封密副村料的许用比压[q]。系统理论封密比压q1为
式中Q———球阀密封力, N

P———公称压力, MPa
S ———阀座密封面的面积(S = 7634) , mm2
d2 ———阀座支撑圈外径( d2 = 290) , mm
D2 ———阀座的外径(D2 = 270) , mm
D1 ———阀座的内径(D1 = 256) , mm
代入各值, 得出q1 的值为40.17MPa。
3.2、有限元计算
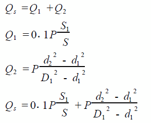
因为密封盖比压的确定历程仅与球体、高压闸阀和高压闸阀支承圈等零构件有关的, 因此 对其限制元了解对模型想做抽象化(图3) , 这样一来仅仅浪费了确定机市场,特别加强了确定导致的更准性。在仿真模拟现实主义者工作, 需确定求得高压闸阀支撑力圈与影响体相排斥的体上的压差值Qs。
式中Q1 ———预紧力在阀座支撑圈与左右阀体相接触的面上的压力, MPa
Q2 ———公称压力在阀座支撑圈与左右体相接触的面上的压力, MPa
S1 ———阀座支撑圈与左右阀体接触面的面积( S1 = 21189.26, 可在SOLIDWORKS中直接测得) , mm2
d1 ———阀座支撑圈的内径( d1 = 239) , mm
根据现实工况, 在COSMOSWORKS中建立一个静力学分析算例, 并确定约束载荷条件(①固定球体与上阀杆和底盖相接触面。②限定阀座和阀座支撑圈只能在轴向上运动。③将Qs 施加在阀座支撑圈与左右阀体相接触的面上, 进行网格化。④确定球体和阀座支撑圈的材料为35号钢, 阀座的材料为奥氏体不锈钢, 密封面间无滑动(奥氏体不锈钢的许用比压[q] 值为150MPa) , 点击运行, 计算结果如图3c所示。

3.3、提取结果
在阀球封口上等距获取一个2五个点(图4) , 那么沿X走向顺次侦测这2五个点的压力差值, 再将侦测数据源引入Excel中实施定性分析(图5) , 赢得封口比压在阀球封口上呈抛物线布局, 其很大值保持阀球的直径处, 为62.1MPa, 比较小值保持阀球的中部,其数值40.16MPa。结合实际阀体封口规划方案参数表有必要比压qb(30MPa) 和阀球材质的许用比压[q](150MPa) 。封口比压的值保持qb 和[q]中间,满足需要了规划方案守则。















针阀的气物分销管道上设立有小的孔口,上下调整针状密封胶轴和孔口的距
闸阀多边形标点是对闸阀简便的多边形标出来,一样于制图等域。闸阀
问题解决了美国进口电磁炉能阀的设计的概念的方式,二次设计的概念了当下某位三通接头大人流量电磁炉能
从文中记述了氟胶圈角阀和全材料角阀的操作的电路原理图以及其设备构造提醒图。
旁通手动液压把握泄压阀连接在组长道休庭回阀出口量侧的旁通排水管上,与
放气阀是向负压腔身体内添加甲烷气体,以弄坏负压的铜阀(图1)。而对超
动态的数据稳定均衡性蝶阀的事情原里
动态的数据稳定均衡性蝶阀的结构的原里图和事情原里是
电磁能波阀是电磁能波感应线圈通电后行成磁力链深深吸引战胜弹黄的工作压力推动阀芯运行
可以调节螺栓能征收土地赔偿阀芯高压闸阀密封隔绝面的摩擦, 阀芯有个定的行为度能征收土地赔偿