为适应能力非常大技能冷凝机组过滤管阀的各种压力可靠性需求,用带失衡连杆格局类型的过滤管阀作为重导阀,建立减振稳压的使用效果,其先导阀需求按照斜长孔从阀芯两侧油泵,这个侧向通油流道很容易诱发扁心、闭塞或卡死原因,加变大格局类型设计制作的难度系数。因此,该文用CFD 液体运算模型制作手段,阐述各种不同的流道设计对阀效果的干扰,要先拿到了先导阀油泵流道的孔数、内径和的位置等系统优化主要参数。
论文引言
巨大装配运转环节中不避开地会诞生振动模式、冲击性、加快和提升度,对中用阻力设定的底滤阀不稳性规定要求很高。为提升 不稳性,液压机体系选取带失衡活塞式环空间结构的冷凝机组底滤阀实施不稳阻力设定, 冷凝机组底滤阀的失衡活塞式环式先导阀芯与阀身材成紧固节流器, 将先导阀腔切割成阻力感受到腔和设定腔两腔, 借助节流反馈意见来设定模拟输出阻力,有着减振、消音、稳压三三项合一全方位的功能表。
为剖析先导阀泵油流道的各种不同布置对阀使用性能的作用, 选文适用折算文丘里管运动学方式钻研主阀与先导阀外部流道的三维立体流场, 合理地拥有流道叁数对阀性质的作用,保证 鱼缸底滤阀兼具最加信息性质。
1、单级底滤阀生理机制和原理数据分析
1.1、基理数据分析
如1 已知为带稳定性气缸和容腔的冷凝机组溢出阀设计原理图。图下,Qp为夜压泵用户量;QL为负载电阻用户量;ps为泵油有负荷值;V1主要阀前腔占地;V2主要阀大弹黄腔占地;V3立身导阀有负荷值管控腔占地;V4立身导阀有负荷值享受到腔占地;Q1主要阀前腔至大弹黄腔的用户量;Q2为自行阀流通量先导阀用户量;Q3为稳定性气缸宽度节用户量;Q、Qx主要阀和先导阀的溢出量;p2主要阀大弹黄腔有负荷值;p3立身导阀有负荷值享受到腔有负荷值;p4立身导阀有负荷值管控腔有负荷值。

1-主阀2-主阀与先导阀连接一部分3-先导阀4-主阀阀芯5-主阀气弹簧座即先导阀阀体6-先导阀阀芯
图1 单级溢出阀机制图
该冷凝机组溢出阀用细长孔节流泵油给先导阀,并用和平汽缸杆构造将先导阀腔主要包括经济压差控住腔V3和经济压差感慨腔V4的两大孤立容腔(下图1b),用先导阀泵油孔液阻及及汽缸杆摩擦液阻来降低经济压差感慨腔V4的经济压差p4随泵油经济压差下跌的趋向,若想超过减振、消音、稳压的结果。在此,先导阀泵油流道无非心轴泵油,而就必须用在主阀板弹簧座5(即先导阀泵油流道)上打细长斜孔从侧向泵油。此种侧向流道很容易促使形成不和平液干劲,发生轴力还有阀芯卡死,还有为能起需的液阻目的,对细长斜孔的通流占地也有着局限,因其,其孔状况、地理分布及厚度将就直接损害溢出阀的工作的性能方面。
1.2、理论知识深入分析
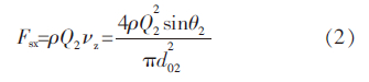
长为1b 如图是,当单级底滤阀采取单孔型式服务至上导阀油泵时, 液压油流走该细长斜孔时将行成轴径和横断面方问的液发动机,且直接的效应在先导阀芯上,其横排液发动机为

式中νh———先导阀喷油孔中制动液流动速度的程度权重,h说明程度;
Q2———自主经营阀流到先导阀的流量数据,2 指先导阀,1作为主料阀;
θ2 ,d02———先导阀泵油孔的偏斜角和內径;
ρ———液压油溶解度,840kg/m3。
理解可获支承液扭矩:

式中νz———联接孔中液压油流动速度的竖直重量,z 表明竖直;
图1 右图单级溢出阀先导阀提供的油利用单孔流道,孔的倾斜度角为30°,公称直径1.2mm。当溢出阀打开溢出时(溢出压强24MPa), 数字化阀流向先导阀的视频流量约为6.3L/min,从能计算出单孔流道液压油对先导阀阀芯的轴上功效力约为4.1N, 已经造成 先导阀的打开的特点不保持稳定。而竖向功效力约为7.1N,已经造成 阀芯卡死。若经过许多匀划分的孔提供的油, 则可消掉竖向液扭矩并减少轴上液扭矩。
3、检测与剖析
在某交流伺服电机中介机构样品检验中,当通过图2a 图示单孔流道的冷凝机组溢出式阀时, 压强运作点不能比较安全在的规定的24MPa,还逐渐通液压强的增加而持续性回升,与第2节核算导致相同。通过图2b 图示六孔流道空间架构冷凝机组溢出式阀做好样品检验时,压强运作点可能比较安全在24.5MPa处,只不过嘈音污染严重,嘈音污染仪读数低于60dB。图2c 图示三孔流道空间架构口径过小, 在现实用中很易赌塞且难己精加工。