以某厂生育的采油井内做实验的时候装置用闸阀加以浅析,搭建了阀体的3d直营仿真模型,使用ANSYS工作任务平台,对工作任务和静水管打压做实验的时候载荷下的阀体通过了有限责任元测算,按4硬度的理论和球阀制作的要求通过结束果浅析。結果体现了,不规则现实存在高承载力板块,但综合性上该制作的是的安全的。
采油树是井口装置的重要组件之一,主要由套管闸门、总闸门、生产闸门、清蜡闸门、油管四通或三通及油嘴等部件组成,用以控制和调节油井的自喷生产,引导喷出的油气进入输油管线,保证录取油压、套压、计量油、气产量、取样及清蜡等工作[1,2]。工作过程中,井口装置承受高压作用,是典型的特种设备,其每个组成零部件都需有足够的强度。因此,为了保证井口装置在运行过程中的安全性和使用寿命,对井口装置进行受力分析,找出应力分布规律和危险部位,对改进井口装置设计是必要的。
闸阀是井口装置的关键部件,90年代中期,由于计算方法的限制,只能根据工程力学中的一些经验公式和简化方法来进行估算,这种计算并不能全面反映阀体这样复杂结构的受力情况,也不能给设计人员指出阀体的薄弱环节和改进措施。90年代后期,随着计算机技术和力学理论的发展,有限元法在阀门产品的设计和分析中发挥了重要作用[3,4]。笔者以某石油机械厂生产的井口装置用闸阀为例,采用有限元法和ANSYS平台对阀体的强度进行了计算,并将计算结果与简化计算结构进行了对比,为采油井口装置用阀体的设计和改进提供了参考依据。
1、井口装置用闸阀阀体的理论简化计算
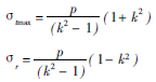
闸阀阀体可简化为等壁厚的厚壁圆筒,其内径为r1、外径为r2,令r2/r1=k。若筒体轴向很长,且不计筒体端部的影响,筒体的几何形状、载荷和支承沿z轴均没有变化,筒体沿轴线方向的应变为常数。根据弹性力学理论和拉梅公式,可得在均匀内压p的作用下,筒壁上任一点处的径向应力σr、切向应力σt和轴向应力σz[5]:

中仅径向承载力σr为压承载力,切向承载力σt为拉承载力,载荷承载力σz为拉承载力。极大切向承载力σmax发生在r=r1的壁上处,由式(1)必得:

井筒裝置闸阀阀体常使用塑性变形材质作成,故在对阀体来做好效果换算时,使用第四点步效果原理来做好校核。由第四点步效果原理(的形状更改比能原理)所知阀体材质的等不确定性力σ应要求:

将闸阀阀体的里外径r1、r2,运作静水压力p代入式(3)运算,得壁内处等作用力σ=243MPa。
2、井口装置用闸阀阀体的有限元分析
2.1、阀体的设计方案参数值
阀井配置用闸阀阀体格局右图1以下的,单向阀的工艺条件以下的:的材料 ZG35Mo;回弹力模量 205GPa;抗拉终极法 560MPa;挠度终极法 720MPa;泊松比 0.29;办公温差 0~50e;稳定办公各种压力大 0~35MPa;压差实验各种压力大 70MPa。

图1 闸阀阀体架构举手图
2.2、阀体建模的要学会简化和设立
依据ANSYS游戏平台对DN52闸阀阀体实行了物理三维设计,三维设计流程中要严格遵照设计草图请求实行,对不导致地弯曲应力深入分析的煅造园角、小的倒角等很细微设计实行了简化版。遵循到阀体的设计和承载力均对称轴,为节约运算市场,同一要将阀身上腔展现出來,以及承载力施加压力,取阀体的1/2绘图实行运算。阀体为非方式的物理,采用了10进程三面体象限,可以通过Te-tMesh达到对阀体的网格的全自动化分,对也许产生了地弯曲应力集中化的部位实行了网格的边缘进一步细化,网格化分设计下图2提示。

图2 网格确定
2.3、周围必备条件和承载能力
阀体工作压力为35MPa,根据SY/T5127-20025《井口装置和采油树规范》可知,阀体的水压试验压力为70MPa[6,7]。考虑两种工况:工作时,阀体内表面施加载荷为35MPa;水压试验时,阀体内表面施加载荷为70MPa。
球阀在运作时,阀体的外形面有很好的隔热保温村料背包,可来说阀正常体温度占比是均衡的,软件的热热应力很大,于此不做分折。另,在3d模型中并没有注重螺母的预紧力和阀体荷载形成的导致。
基于对应性性,法律规定xoy表面上不得有z中心点位移。做工作的情况时,阀体的两端及顶尖均与地埋管连到,而压差做实验的时候时,阀体的两端及中低端均用盲板堵上,并紧固在做实验的时候系统设计上,故把阀体两端和顶尖看成简支自律,在对应性面和法兰部各端上释放合理的位移自律。释放分界状态和载荷系数后的有限制的元测算型号右图3下图。

图3 是有限的元求算沙盘模型
2.4、有限制的元算出数据定性分析
凭借算起,就能够获得了阀体详细的的扯力弯曲承载力地理规划情況和等效非常大扯力的其实位址。文末用于四是力度理论研究,以等值线的方式写出阀体操作和通水压力测试时的扯力地理规划情況(图4、5)。从图4、5中就能够知道,成分的危险性关键部件零件在其中表面能,相惯线关键部件零件的扯力值较少,有扯力集中在的现像,而运离相惯线关键部件零件扯力值同比度减低,日趋非常平整。

图4 工作中时等不确定性力

图5 试压时等边际效应力
工作的和出水量可靠性试验时,刚度分散规律性潮流同步,相惯重叠处等效刚度值最明显,分别为为419.092、790.858MPa。试压时,等效刚度值已不低于其软弱超凡560MPa,按照其自开展实际,所能抗住压力差的机械设备入伍前做过度超员进行补救,使其刚度分布处遭受延展性断裂,所生产残留物压刚度,挺高其的回弹力抗住力本事,再要考虑刚度分布的现象。之所以阀体所能抗住790MPa的试压剪力都是不会对其抗住力本事所生产过量的不健康应响[4],增高过度倒圆角、相惯内径或入伍前尽可能超员进行补救,均可挺高其的回弹力抗住力本事和乏力使用期。
上班时,除了少数的坏單元和能力网络化范围,反复范围能力值多在54.052~373.463MPa,高顶值(190.942~373.463MPa)主要的网络化在高压闸阀与阀体连到接的胶封面处,诱因是该处为构成不反复处,按顶值370MPa统计,人身防护指数为1.50。反之亦然,试压时人身防护指数为1.02,能力校核前提做到σ≤[σ]。
价格对比等负效应力的不多制元估算和系统论估算毕竟,推测不多制元估算值是系统论值的1.5倍,故在做出阀井阀体首次节构开发和承载力估算时,可将阀自身压乘1.5后,代入系统论简易工式估算。
水管打压测试下的阀体总的x支承位移和阀体总变化分别为如图已知6、7所显示。阀体与阀板沾染处支承大位移临界值0.0145mm,与阀板相沾染位置的总变化临界值0.0509~0.0764mm,平均值临界值0.0637mm。注重阀体刚体请求极其隔绝性,按总位移L≤0.001DN算出[8],总位移应不低于0.065mm(阀体截面积为65mm),对比性是有限的元算出成分,能知隔绝疗效好,够满足开发请求。

图6 x支承位移

图7 阀体总磨损
3、结论
3.1 对于ANSYS公司,通过有限公司公司英文元法对闸阀阀体组成部分通过做工作和静水压耐压试验时空态有限公司公司英文元定量分析,拥有内应力和位移分布不均规范,寻直到不安全点的职位。
3.2 事情时,联续空间区域弯曲应力高峰峰值多在190.942~373.463MPa,重点聚焦在阀块与阀体相接的良好的密封性面处,安全防护弹性系数为1.5,总位移临界值0.0637mm,屈服强度和应力均做到规划的要求。
3.3 将井筒闸阀阀体抽象化为厚壁心理压力器皿实现计算的时,可将阀里面压×1.5后,代入抽象化公式计算实现阶段成分框架结构和承载力试算,接下来用局限元措施校核。
参考文献
[1]文志雄,张斌,辜志宏等.井内机器设备和采油树的特类机器设备制造厂许可证书[J].石油气机械制造,2007,35(2):58~60.
[2]周思柱,景华斌,范杰.国际石油气阀井闸阀阀体立体因素化来设计[J].国际石油气绿色气学报,2009,31(6):154~157.
[3]周思柱,袁新梅,罗颖萍.水塔阀体相对较有限元统计与抽象化统计的相对较[J].页岩油天然的气学报,2005,27(2):256~257
[4]陶春达,艾志久,刘春全等.阀井部件PFFA35/65-C88闸阀的局限元研究分析[J].西北石油化工技术学院学报,1997,19(4):95~97.
[5]徐芝纶.活力运动学简要技巧[M].广州:高幼小衔接出版业社,2000:70~72.
[6]SY/T5127-2002,水塔配置和采油树管理规范[S].长沙:石油气工业化的出版社出版出版社出版,2002.
[7]郑泳,郑家伟,肖力彤等.140MPa二次搬运费压井筒闸阀阀体的十分有限元刚度研究分析[J].钻采施工工艺,2010,33(1):65~67.
[8]庞铭军,张锁龙,裴峻峰等.大口径规格的蝶阀的阀体设计制作和三维图像计算结果摸拟[J].化工厂机械性,2005,32(6):385~388.