调节蝶阀的结构与优缺点
2020-04-19 真空技术网整理 阀门手册
一、蝶阀的调节
阀门从创建哪日起便与上下调整分不了,会因为阀门的上下调整使用性能相似性于等百分数,这那就是阀门最合适于上下调整的现象之六,国内组成简便可认知于大內径。但在小油管压力下,阀门上下调整使用性能不利,易带来汽蚀、冲蚀、抖动和嘈音。以至于通常情况不限制在小油管压力(小于等于15°~20°)下开展上下调整和节流。阀门在80°~90°非常接近开启角度国内流量最基本不会转变 。以至于不应上下调整。阀门的上下调整比率通常情况为20°~70°。 的调接电动三轮阀门格局如下图1如下,为手动的调接电动三轮阀门,的调接驱动包控制系统为手动pet薄膜式,除手动的调接阀外也会有液动或电动三轮。通常情况下的调接电动三轮阀门阀体格局比效容易,阀杆通常情况下是制作直达轴的行驶,而蝶板通常情况下为平板手机对称性型(I型)。要减低动水转矩,也会有将蝶板制作盘形、S形或鱼尾形的(图2)。要在小压力下能加到的调接反应有了疏齿阀(图3)。



二、蝶阀的流阻系数
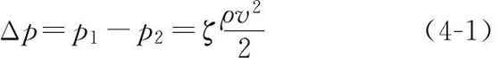
气固两相流顺利通过闸阀,基于存在电磁感应、变弯、加速器或降速和气固两相流质点间急剧触碰而使得的动量交流所存在的位置电量损害,而有存在发展阻力。 设阀前学习各种压力为p1,阀后学习各种压力为p2,则




三、阀门的流量与流量系数
的单向阀的用户可由连着方程组而得,再由式(4-1)求空气流速,进而的单向阀的用户Q为


四、阀门口径的选择
在应该的国内留量测算的过程 中,就能够把球阀的国内留量公式划分成稳定国内留量公式和负荷率国内留量公式。 額定2g视频流量因子是铜阀的僵板特征参数,唯有铜阀形式确保,額定2g视频流量因子就因而确保,与过量空气系数的水温、压强、密度计算公式等不太相关(具体实施量值可关联性表1)。 工程状况用户的公式,顾名思义,,由工程状况的(最大化、合适、超小)用户的甚至表示的工作上溫度、阀前负担值、阀后负担值、物料比热容等性能来判定,与铜阀机构不是。工程状况用户的公式的运算见表2。 表2 调整阀联通流量常数Kv值计算出来表达式














