从20世纪90年代初国内开始研制蝶阀式空气压力调节器以来,先后研制生产出QDF-45、QDF-46、CYT-20、CYT-32、CYT-33、QYT-20等多种产品型号,经历了由相对压力调节向绝对压力调节的过渡。随着我国航空技术的不断发展和日趋成熟,大型民用客机等先后立项并进入研制阶段,其环控系统对引气压力调节器功能的精确性和工作稳定性都提出了更高的要求,研究影响高温蝶阀式绝对压力引气调节器调节精度及工作稳定性的主要因素及相应的解决措施这一课题迫在眉睫。本文以高温大流量引气压力调节器为例,对上述问题进行全面的分析和论证。
一、主要技术要求
(1)做工作材质:新鲜空气。
(2)安全使用非常:-500m~18000m。
(3)业务场景温暖:-55℃~+70℃。
(4)任务媒介室内温度:正常的360℃,高达450℃。
(5)吃下有压力区域:0.45MPa~1.5MPa(可以说 )。
(6)流量数据:常见800±100kg/h,最高1300±100kg/h。
(7)调压性状:当在口中压为在0.45MPa~1.5MPa(绝对是是)、热度分别为为800±100kg/h和1300±100kg/h时,软件外贸出口压为应具备0.4±0.025MPa(绝对是是)。
二、方案设计
基于技术性请求,成品机理方法必需维持一些状况:(1)在-500m~18000m高速空间内实现了了引气压强的高精度缓解。(2)在高压力、大访问量、长时的业务状况下实现了了优秀的业务安全性。就此,制定其机理方法如同1,机理方块图如同2。
操作操作过程:
货品为气动式式压力差控住形式,以分成气动式式控住气路、反馈系统气路和主气路二个气路。

当进口压力通过气滤到达先导阀,先导阀将其减压为恒定控制压力通往两位开关。若控制气路电磁阀通电,控制压力经过超压控制阀到达控制腔,推动膜片组件与蝶阀联动,打开蝶阀,出口压力经节流后进入反馈腔,膜片组件在控制腔压力、反馈腔压力、弹簧力及蝶阀所受的气动力共同作用下,达到力平衡,使蝶阀达到需要的开启角,实现压力调节的功能。如果因某种原因,出口压力升高(或降低),反馈压力跟着升高(或降低),进而控制膜片组件上移(下移),使蝶阀开启角减小(或增大),实现出口压力趋于恒定。
若电磁波阀关电,把控好气路被切割。把控好压强并不能满足把控好腔,膜片引擎和阀门将在拉簧力的角色下而关机主气路。
三、影响因素分析
从碟阀系统原因及所搭建的数学分折建模中是可以判断,膜片配件是这个护肤品的执行力系统,以至于,对作用护肤品工作的动态平衡性和调高误差的问题分折,即使对膜片配件支座反力的作用分折,之下对膜片配件的打扰现象及相对应来解决举措做分折。
1、对调整腔阻力的浅析
有效控制腔负担的式子为:

由表格函数(1)行查出,先导阀的输出电压有重压时间超范围的多少进行影向的的操控腔有重压时间超范围的多少;当因体统有重压起伏较大等其原因物料进口有重压造成一些ΔP的增长率时,物料的的操控腔有重压会在过载保护的的操控阀的影响下讯速拉低,并顺利通过膜片配置文件的影响使碟阀调阀增大,物料的调压形态在刹那间内有界至一般情况下。最终得以避免出现物料调压形态的起伏较大,提升其平衡性。加大过载保护的的操控阀后旋钮形态申请这类卡种曲线提额差别如图甲所示3。

2、对调查问卷腔各种压力的定性分析
对绝对化阻力差调整器一般来说,从而得以其调压功能不会电离层场景阻力差的干扰,反馈建议腔阻力差是将设备外贸出口阻力差节流后得以的两个十分阻力差值,该阻力差的保持稳定量分析直接的干扰设备的调压功能。
主缓冲区与信息意见汇报腔两者的等效直劲d由其石墨涨圈的胶封稳定性关键,在碟阀做好按钮左右石墨涨圈胶封稳定性的改变前提又没有办法精确度检测的,还要就是在当下水平必备条件下,近500℃的气温区域,没有办法以确保几乎胶封。因此还要减低因主缓冲区向信息意见汇报腔漏气对信息意见汇报腔水压影向的做法吗?
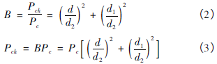
至于节流因子的式子:

式中,B为回馈气路节流公式。
由公式计算(2)、(3)就也不错看不出,等效孔径d值就也不错当成是在另一范围之内内变的是一个量。当减少节流孔孔径d1时,就也不错新增因等效孔径d的变对评价气路节流标准值变量的影响力,也这就可以这么说,在Pc发生变化的症状下,就也不错新增评价腔有压力Pck的精确和平衡性,为了的提升全球阀的上下调整精确和本职工作平衡性。

从2g数据留量不断性方程组也是可以知道一致的论文,如下图4提示,G1是爱们优先修改的2g数据留量,G2是爱们不期望有的骚扰2g数据留量,G3是排气阀门阀门总2g数据留量,当变大优先修改的2g数据留量G1时,就可能增大骚扰2g数据留量G2对总排气阀门阀门2g数据留量G3的不良影响。
3、对球阀气推动力的分折
碟阀受到的气的扭矩,是因气味的分子运动而会产生的,要自始至终是使气动阀门启用的力,因其非线性网络的共同点,仅仅碟阀居于岗位状况,它还是会干预碟阀的调压。怎样才能避免出现可能是减小气的扭矩的的影响呢?
要根据测定的球阀气运转比率和前方所实现的统计学实体模型,利用率计算公式机数字1防真技術,当Pr=0.4~1.5MPa,Pc=0.4±0.025MPa,B=
0.54596,G4=1300kg/h,K=3N/mm,d1=0.3,d2=0.375,给出阀门手动载荷反效应在膜片元件上的分力与调压压缩弹簧力的模拟报告单如表1,制图其变化无常拟合曲线就像文中6已知。


从表1和图5可不可以能够,当电动电动电动球阀压力越大时,电动电动电动球阀液压载荷反使用在膜片零部件上液压力量用的波形越差;当电动电动电动球阀压力越个小时,电动电动电动球阀液压载荷反使用在膜片零部件上液压力量用的波形越差,在开始品牌设备设备设计构思时,肩负着可能使电动电动电动球阀的工作的在液压力量用的波形区,但犹豫直升机操作系统请求的减压方法比等各种因素的有限,并不是无法使品牌设备设备完成的工作的在波形区区间内,调压扭簧力就无法达到好点抵销使用在膜片零部件上的液压力量用,电动电动电动球阀液压力就会对品牌设备设备改善精度等级存在巨大引响。
在这事情下,借助求算机仿真模拟求算,寻得下面的四种还可以减小气推动力后果系数的保护:
一类是在先导阀打印输出气压禁止、天然橡胶膜片就能必须且企业产品不还要在较低气压下采取启闭性状的情况下下,曾大调压拉簧应力,此类改善控制腔和反应腔气压,以此降低因角色在膜片引擎上的气推力食用量的不同对膜片引擎的关系成度。
第二在物料个人空间限制的现状下,可调高叉臂的段长度,减慢意义在膜片引擎上的气推力图像,为了减轻对膜片引擎的影响力系数。
下部将调压拉簧硬度由1.5N/m增长到3N/m,将摇背高度从15mm改大至20mm后,开展对好产品的调压基本特性开展数字6防真就像文中6已知。
由图6护肤品调压性能曲线拟合比查出,护肤品调节器精确由±0.02MPa从而提高至±0.01MPa。
四、试验验证
上述内容机制推进已到直流高压引气设定阀×××企业产品上,经校正查证,其工作中动态平衡性好,调整定位精度适度提升,我觉得测调压性质长为7下图,经与仿真模型导致图6的对比,达已到预期效果的基本原则。
五、结语
总体可以达到了解,查出如下报告:
一个是在调控气路旁增大过载调控阀是可以持续改善产品设备开始旋钮性时的超调量。
第二恰当加剧信息反馈气路节流孔厚度,由φ0.3mm加剧到φ0.8mm,能否突出优化商品的作业动态平衡性。
三是在產品余地支持的事情下,能能增加叉臂的长,能能增加效应在膜片器件上的气趋势使用,而有效降低对膜片器件的损害的程度。
四是在先导阀内容输出负压充许、橡胶制品膜片可能承载且新产品无需在较低负压下实行面板开关形态的环境下,提升调压拉簧刚度比,应当可以提高掌握腔和返馈腔负压,可以急剧减小因功能在膜片零件上的气牵引力参量的转变 对膜片零件的损害限度。
出现报告均已在×××高压电引调控阀上的加以的测试效验,结果严重,兼备较强的应用商业价值。
参考文献:
[1]徐华航.经济实用乙炔气力学性[M].济南:济南航空航天技术学院出版商社,1987.
[2]寿荣中,何慧姗.飞机器生活环境调节[M].广州:广州飞机维修航天科技上大学书籍出版社书籍出版社,2004.
[3]陈康宁.机戒工程建设控住前提[M].绵阳:绵阳交通出行高校发布社,2006.
[4]吴宗泽.机戒制定师参考手册[M].石家庄:机戒产业书籍出版社社,2008.