进口高压气环境传热相关产品板(Vacuum Insulation Panel, VIP)不是种效率高传热相关产品相关产品,它是研究背景进口高压气环境防热研究进展,由芯层奈米级纳米纤维媒介相关产品和低有害气体融于率的隔气成分设计进口高压气环境防火膜构成的的热防御系统。,隔气成分设计通常情况由合金轻金属亦或是有合金轻金属层的几层聚酯树脂基塑料薄膜构成的。隔气成分设计将新层相关产品全面性的快件后抽进口高压气环境封裝,则方便在二侧顶部处产生热桥效果,即进行热桥。这段话就主要述说了进口高压气环境传热相关产品板(Vacuum Insulation Panel, VIP)的热桥进行研究进展。
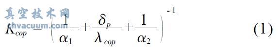
平常进行制热因子来明确热膨胀用料的热膨胀功能(构成情况关键因素),来说质软竖直的无敌大uv或板状热膨胀用料,这当中心制热因子(W /(m2·K))的定义有以下:

式中:δp 表明华为板材电脑板厚为,m; λcop 表明华为板材电脑服务中心热传导指数,W/ (m·K);α1,α2 依次为华为板材电脑冷热变化(热胀冷缩)侧表面能的换热器指数,W/(m2·K)。
因平时热膨胀用料用料品质饱满,在这当管理重点站传热标准值前者总布局化传热标准值也是致的,不会受到表面与管理重点站不累计而呈现热桥反应。而高压气热膨胀用料板( VIP) 隔气机构与芯层用料的传热标准值并不一样的,其表面领域与管理重点站领域隔气机构和芯层用料的包围表现形式很有可能所差异,三部位温度会经途表面领域经隔气机构简单由热端流到冷端,建立热桥,最后导致高压气热膨胀用料板( VIP) 管理重点站传热标准值值与总布局化传热标准值值并不一样,图甲1 随时。

图1 硬性不匀绝缘性装修材料与真空系统隔热板热流比图
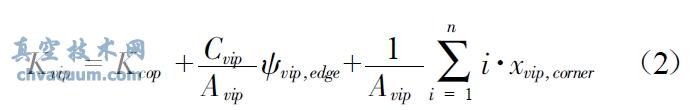
针对真空室绝热材料板( VIP) ,就能够使用方程式式(2)来讲述其产品 对流传热标准值Kvip。

式中:Cvip 为真空度泵隔热材料板( VIP) 这那侧面的周长,m;Avip 为真空度泵隔热材料板( VIP) 的这那侧占地面,m2;ψvip,edge 为顶部规则化热传递率,W/ (m·K);n为角的个大概的数;xvip,corner 为角的热传递公式,W/K。顶部规则化热传递率与角的热传递率的取值视生产而定。多半数问题下,角的热桥作用比顶部的热桥作用小的多,求算时以及不错移除,始而方程组式(2)中左边最后项不错移除不算,可将其化简为:

机械泵热膨胀板( VIP) 的边界规则化导热率是定性定性分析一下隔气设备构造热桥有效的至关重要参数设置,需要通过pad热保護法或值为定性分析一下的原则加不以取。此文通过值为定性分析一下的原则对边界规则化导热率通过描述和求得。
全文阅读:
真空绝热板热桥效应数值分析及优化