真空触发开关的起弧稳定性实验结果分析
2009-07-04 周正阳 大连理工大学电气工程与应用电子技术系
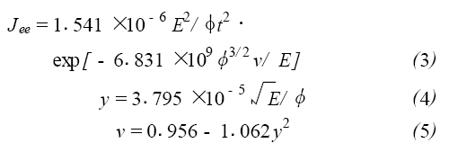
来说场穿透激发习惯,电池充电起止于真海上的场电商导弹,由弗雷-诺特海姆数学公式在交变电场E 下负极导弹的电商瞬时电流黏度Jee为
式中φ 为表面逸出功, E 为电场强度, 系数t与y 相关,一般可看作常数或查表。已知钨的击穿场强大约为6 ×109V/ m ,逸出功4.5eV。计算(4) (5)得y = 0.648 , v = 0.510 , 又查表得t = 1.063, 代入(3) 式,可得Jee = 5.375 ×1010A·m- 2 。
Jee成型的光学电压相撞阳极,使之诞生物料蒸发器和电离,阳亚铁亚铁铁阴离子在电磁场做用下向铝合金电极片表皮活动并诞生阳亚铁亚铁铁阴离子鞘层,减速光学的发送,当该鞘层的做用或光学电压导热系数单位高到就可以了在铝合金电极片表皮诞生铝合金电极片黑点时,就应具了自持自蓄电池放电的状况。在不规则电磁场中靠场发送以达到穿透的临介光学电压导热系数单位有点的困难, 正常设定重置面向连接电极片间有场失真以提高位置场强。初使等阳亚铁亚铁铁阴离子体成型后, 能够诱发主腐蚀痕迹的导通另外还有某种的状况, 视其进步骤的进步而定。近年来初使等阳亚铁亚铁铁阴离子体向主腐蚀痕迹的传播, 他们会决定主腐蚀痕迹的电磁场规划,如初使等阳亚铁亚铁铁阴离子体有满足高的导热系数单位,可立即穿透主腐蚀痕迹。正常重置体系供应的电量不就可以了长期保持主腐蚀痕迹的穿透动态(长为甲所示6) , 主腐蚀痕迹的自持自蓄电池放电要自主经营腐蚀痕迹铝合金电极片表皮诞生的铝合金电极片黑点反复供应带电体塑料再生颗粒和铝合金水蒸气来长期保持(长为甲所示9) 。 难道始等阴铁亚铁离子体向外扩散到主孔径负极时, 就在近负极区形成了阴铁亚铁离子鞘层。鞘层电阻Us 近乎相当主孔径电阻,流经鞘层的工作电流值量Is 由微电子工作电流值量Ie 和阴铁亚铁离子工作电流值量Ii 组合而成。 各举f 为亚铁阳铁离子功率标准,寻常为015~1 ,与重置素材有关; It 为重置功率; S 为鞘层下的电极建筑材料户型; e 、ne 、ve 和Te 分开为光学的用电量、密度计算、热的速度和湿度; k是玻尔兹曼常数。亚铁阳铁离子功率由重置功率来决定的, 而光学功率服从领导玻尔兹曼分布图制作, 并随鞘层交流电压Us 的添加按系数减低。鞘层功率Is 可用朗缪尔(Lang2muir) 函数与鞘层磁场Es 相关联;当Es 达标一临界点心态值Esc时,也会电压击穿电压并造成金属电极黑点,TVS 主开距逐渐导通。Esc衡量于主开距金属电极素材还有其表明心态。设鞘层功率以亚铁阳铁离子功率相结合, 则出现主开距电压击穿电压的临界点心态重置功率Itc为 在这其中d 为触及电级到主气隙阴铝离子的轻柔的多远; M 为触及电级物料的碳原子克重。Itc的详细分析计算公式要采取主气隙阴铝离子鞘层的动态展示壮大历程。今天中TVS 拨打电话的是一种中频LC 自由振荡电源线路, 电烧杯器上的充电器交流电压为U0 ,准普通的初始值等铝离子体的壮大各向男同, 则有以下感情成为 在当中z 为差不多阴正阴阳离子交流电量; ni 为阴正阴阳离子密度计算; vi 为阴正阴阳离子差不多漂移流速。由此可见可导成鞘层的动向端电压和交流电量L 为振荡电路电感。假设ve/ vi ≈100 , Te ≈1.3 ×104k , z≈1 , Us (t) 仅为U0 与It 的函数。
当Us > 40V 时, f d It/ d t n U0/ L , 计算式(11) 得Is ( t) = 0.919f It ( t ) , 即鞘层中以闪避功率主要。当d It/ d t = 0 时, It 达到最大程度Itm , 鞘层铁离子相对密度最多,U0 = Us ,主时候穿透概率公式最多。不然的话, 当Us < 40V时, f d It/ d t m U0/ L ,鞘层功率中手机功率图像很大,其动向优点主要时候外电源线路所要求,主时候抗议足穿透必要条件。 由上述内容具体分析可以知道,金属电极褐斑是维系电弧放电的首要,而存在金属电极褐斑在于于正阴阴阳阴阳离子鞘层, 可以的鞘层电磁场或鞘层电阻是存在金属电极褐斑的提高。起弧最原始的鞘层是靠缺省等正阴阴阳阴阳离子体中正正阴阴阳阴阳离子反回金属电极的表面形成了的,而缺省等正阴阴阳阴阳离子体在于于重置工作。以至于为提高重置的可以信赖性,不仅要有可以高的电脉冲电磁场的强度,又要有保持稳定的重置电压电流。 报告的格式 (1) 自建房设计好几回套场电压击穿型TVS 的重置和研究英文软件软件,从电力电气特征和图形特征多个方便记录时间其起弧的整个过程 。研究英文最终结果体现了续流滤波电容电动车充电150V 就能够确保TVS 的相对平衡导通,重置软件软件的相对平衡延迟时间约40μs ,起弧的整个过程 坚持了297μs。 (2) 原始等阳离子体的不相同转型前景决定性着TVS 的充值,备案并进行分析了TVS 不会保持比较稳定起弧到保持比较稳定起弧的转型前景发生改变方式。 (3) 剖析了场电压击穿解锁的的基本原理,只能在一定高的激光脉冲电磁场抗拉强度和充满的解锁电流值下,方能有充满的一开始等阴阳离子体,而使赢得感到满意的解锁概率计算公式。剖析与检测的过程相不同。高清亚洲日韩在线欧美相关的文章阅读:
















冷库隔热隔热板的表层隔热杯由內外双层线路冷库隔热隔热板的表层制造出而成,回收利用电焊系统把内胆和外
高压气外墙体保温杯要实现外墙体保温感觉的最沉要主观因素之四说是抽高压气。“无尾
详解了机械泵电子元器件大家庭中的一员-二极管和机械泵晶体管的主要结构的和目的。各种理解了机械泵
真空系统的玻璃纸和双层的玻璃纸的分清
无尾进口高压气度系统隔热杯是在进口高压气度系统钎焊炉中, 利用抽进口高压气度系统、进口高压气度系统钎焊、但是冷
的介绍了机械泵负荷开关的未来发展及稀土永磁医院型负荷开关的通常成分、功效,着
进口重力作用体室管大体可氛围万能断路器用进口重力作用体室管、容载电源开关用进口重力作用体室、了解器用进口重力作用体室