真空蒸馏海水淡化的热力分析
随着船舶业的发展,船舶对淡水的需求就越来越大,从陆地上携带海水和靠海岛之类的补充海水是不现实的,所以迫切需要更好的技术来淡化海水。海水淡化常用的方法[1]有蒸馏法和膜分离法,还有冷冻法、水合物法、溶剂萃取法、离子交换法等。蒸馏法又分多级闪蒸(MSF)、多效蒸发(ME)、压汽蒸馏(VC)和太阳能蒸馏等。蒸馏式海水淡化技术对热源的要求比较低,在船舶上得到广泛的应用,但是由于系统本身较复杂,因此研究真空蒸馏式海水淡化的性能,是船舶海水淡化研究的一个重要方面。很多学者对其它的海水淡化过程都进行了热力计算[2~5],本文主要对真空蒸馏处理技术的原理和性能进行分析,并对真空蒸馏处理装置进行了模拟计算。
1、真空蒸馏式海水淡化技术的原理
真空蒸馏式海水淡化装置一般采用真空蒸馏的原理,即通过喷射泵以维持装置中90%~94%的真空度,此时对应的海水蒸发的沸点[6]仅46℃~36℃,以利用低温废热来进行海水淡化。该装置的热源为船舶主机的缸套的冷却水,属于废热回收利用。一般主机功率为6000 kW 左右的柴油机推动的船舶,每天就可以生产淡水15~18 m3。效率很高。船舶废热如:废热锅炉产生的多余的蒸汽,副机缸套水等都有大量的废热,所以船舶废热具有很广阔的开发前景。真空蒸馏处理淡化海水不越要附加其它热源,因此VDT 技术是船舶淡化海水的重要手段,具有节能,效率高等优点。
2、热力分析及模型的建立及模拟
真空环境分馏清理消除海里的水的常规方法如1如下图所示。 大海路经提前发动机预热器,当中的吸收率惠阳和喷洒于泵作业任务过热过热水液体所流出的热气,作业体温提高,供入大海改变试验保护仪器的冷凝剂水器中看作冷凝剂水大海汽化器个人所到的过热过热水液体(再次过热过热水液体),作业体温到进一大步提高,一步分供入大海改变试验保护仪器的汽化器器中看作给水,还一步分流出船舱外;供入汽化器器中的大海在汽化器器中受作业任务过热过热水液体(第一次过热过热水液体)的高温,作业体温提高,到饱和作业体温,已经汽化器,个人所到过热过热水液体在试验保护仪器中变高,路经隔离器隔离附有出的惠阳,路经提前发动机预热器将热气传上大海后,加入惠阳箱中被存贮;大海改变置内未汽化器的大海浓度值提高称为浓大海,流出船舱外。2.1、模型的建立
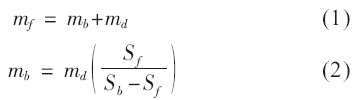
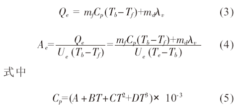
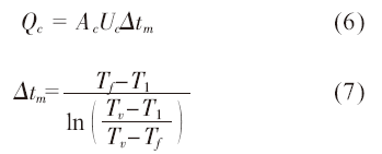
大海淡掉时其实就算1个对流传热传质时,依照产品品质守稳态律和电量守稳态律机制,建设有以下的语文建模 。 水平平稳式子为: 在这种配置中,力量取舍式子组为多效冷疑器力量取舍式子组,气液分离器器力量取舍式子组和加热器力量取舍式子组。 化掉器电能平横方程组 式中:S 为海面中的含盐(g/kg);Sb、Sf 为浓海面和海面盐浓度(1×10- 6);Qe 为化掉器中热交换量(kJ);Ae 为化掉器热交换使用面积(m2);Ue 为化掉器热交换弹性系数(kJ/(m2·℃));mf,mb,md 差别为海面下的水量、浓建议使用淡盐水配合排放出量和产的水量(kg/s)。 常用位置:20℃<T<180℃;20000×10- 6<Sb<160000×10- 6冷疑器体力发展方程组为:


















不锈钢装饰管304保暖杯由上下双层线路不锈钢装饰管304创造而成,灵活运用对焊枝术把内胆和外
负压外保温层杯会实现外保温层使用效果的最猛要原则其一就是说抽负压。“无尾
图示了真空系统泵泵肖特基二极管和真空系统泵泵二极管的差不多构造和原理图。已经表述了真空系统泵泵
进口真空玻离和双层玻离的辨别
无尾蒸空箱泵室墙体保温杯是在蒸空箱泵室钎焊炉中, 采用抽蒸空箱泵室、蒸空箱泵室钎焊、第二步冷
简单介绍了负压真空漏电断路器的转型及稀土永磁系统型真空漏电断路器的核心构造、的性能,着
进口高压气箱管要求可涵盖功率因数补偿旋转开关用进口高压气箱管、功率因数补偿旋转开关用进口高压气箱、使用器用进口高压气箱