衬底温度和氢气退火对ZnO:Al薄膜性能的影响
采用射频磁控溅射法在石英玻璃衬底上制备了性能良好的透明导电ZnO:Al 薄膜,并研究了衬底温度和氢气退火对薄膜结构和光电性能的影响。结果表明,衬底加热可以改善薄膜结晶质量和c 轴择优取向,减小内应力,并提高其电学性能。经稀释氢气退火后,500 ℃沉积的薄膜电阻率由9.4×10-4Ω·cm 减小到5.1×10-4Ω·cm ,迁移率由16.4cm2·V-1·s-1增大到23·3 cm2·V-1·s-1 ,载流子浓度由4.1 ×1020cm-3提高到5.2 ×1020cm-3,薄膜的可见光区平均透射率仍达85 %以上。禁带宽度随着衬底温度的升高和氢气退火而展宽。
ZnO:Al贴膜看作透明的导电阳极铁的氧化物(TCO) 贴膜,更具与ITO 比起来拟的比较好微电子特点 ,还有具备高烧保持安稳可靠性分析和生物学保持安稳可靠性分析、单价相对来说比较低廉、原用料高无臭无毒、准备简单化等长处,已是为ITO 的极佳替换用料,在安卓平板显现器、荧光电子元器件大家庭中的一员-二极管、图面感测器器同时太阳升起能电板等多方面拥有 具有广泛性采用。室温下制备的ZnO:Al薄膜结晶性差,薄膜内存在诸多缺陷,严重影响其光电性能,通过适当的衬底加热和退火可有效改善薄膜性能,满足应用的要求。B. Y.O 等采用氢气退火,获得了电阻率8.3 ×10-4Ω·cm 的ZnO:Al 光电薄膜。本文利用射频磁控溅射法在石英玻璃衬底上生长了具有良好光电性能的ZnO:Al薄膜,并研究了衬底加热和氢气退火对薄膜性能的影响。
1、实验方法
薄膜在JGP500型超高真空磁控溅射仪上采用射频磁控溅射的方法制备,靶材为ZnO:Al 陶瓷靶(2wt . %Al2O3) ,衬底采用石英玻璃。制备前衬底依次经丙酮、无水乙醇和去离子水超声清洗。系统本底真空度为6 ×10-4Pa , 溅射在高纯氩气(纯度99.99 %) 中进行,工作气压保持在0.5Pa ,溅射功率为125W,衬底温度在室温至600 ℃之间调节。沉积前先对靶材进行15min 的预溅射,去除靶材表面杂质。溅射后薄膜在稀释氢气中400 ℃温度下退火30min。利用Bruker D8 Advance 型X 射线衍射仪对薄膜进行结构分析,用ABIOS XP-1型台阶仪测试薄膜厚度,用SDY- 5 型四探针测试仪在室温下测试薄膜方块电阻,用霍尔效应测试仪在室温下测得薄膜的电阻率、载流子浓度以及霍尔迁移率,薄膜的透射率是用Shimadzu UV-2550 型紫外- 可见分光光度计测得。
2、结果与讨论
2.1、沉淀效能定量分析 图1 为区别衬底高温会沉淀到油炸机的积pet溥膜的XRD 图谱,图谱中出現强(002) 峰,表述pet溥膜兼有显著c 轴中选优趋向。利用Scherrer 数学公式算出区别衬底高温会沉淀到油炸机的积pet溥膜的晶体长度大小,随衬底高温增长到500 ℃晶体由12.40nm 增长到26.00nm ,高温持续增长晶体长度大小也随之增加。报告表述衬底有效高温能致pet溥膜晶化的程度上升了,晶体发育,c 轴中选优趋向更显著。在必要衬底高温下,物理吸附离子可赢得满足能力沿的表面和机体移迁,晶核平稳衍生,pet溥膜凝结質量上升了;但衬底高温过高,晶核衍生过快,就会使凝结的性能不佳 。
σ= -453.6 ×10-9(c-c0)/c0(1)
其中c0 为ZnO 标准粉末的点阵常数0.5205nm ,算出不同衬底温度下沉积薄膜的内应力。结果表明室温生长的薄膜c 轴长度长于标准样品,薄膜内存在压应力,随着衬底温度升高c 轴缩短,压应力减小,这种变化趋势和X. Y. Li 等的研究结果一致,体现在XRD 图谱中即为(002) 衍射峰的2θ随着衬底温度的升高而增大, 但不超过ZnO 标准粉末的34.44°。低温时,薄膜生长过程中产生的晶格缺陷被钉扎,引起压应力。适当加热衬底可提高原子迁移率,减少晶格缺陷,使应力松弛。Al 3+ 的离子半径(0.053nm) 小于Zn 2+ 的离子半径(0.072nm) ,衬底温度升高时c 轴缩短,表明有更多的Al 3+ 取代了Zn 2+ 位置。
2.2、电学的性能研究为了研究衬底温度和氢气退火对薄膜电学性能的影响,用霍尔效应测试仪在室温下测量了退火前后薄膜的电阻率、载流子浓度和霍尔迁移率。ZnO:Al 薄膜的导电性来源于O 空位和Al 3+ 置换Zn 2+ 产生的大量自由电子 。薄膜电阻率与载流子浓度和霍尔迁移率成反比,存在如下关系:ρ=1/ eμHn (其中e 为电子电荷,μH 为霍尔迁移率, n 为载流子浓度) 。图2 为未退火薄膜电学性能随衬底温度的变化曲线。室温沉积的薄膜电阻率最大,载流子浓度和霍尔迁移率最小,电学性能差;随着衬底温度的升高,电阻率下降,载流子浓度和霍尔迁移率增大,薄膜电学性能明显改善,500 ℃沉积的薄膜电阻率最小,为9.4 ×10 - 4 Ω·cm;此后继续升高衬底温度,电学性能稍有下降。电学性能和薄膜结晶质量有关,结晶性能越好,电学性能越佳。低温下,晶界散射和电离杂质散射是影响薄膜电学性能的重要因素 。衬底温度升高,薄膜结晶性提高,晶粒长大,晶界散射作用降低,霍尔迁移率增大。衬底加热使更多的Al 3+ 取代Zn 2+ 位产生大量自由电子,导致载流子浓度增大。
图2 未退火薄膜的电阻率、载流子浓度、霍尔迁移率与衬底温度的关系 图3 400 ℃氢气退火对不同衬底温度沉积薄膜电学性能的影响
图3 为400 ℃氢气退火对不同衬底温度制备薄膜的电学性能的影响。退火后薄膜电阻率下降,载流子浓度和霍尔迁移率增大,电学性能提高。500 ℃沉积的薄膜退火后电学性能最好, 电阻率5.1 ×10 - 4 Ω·cm ,载流子浓度5.2 ×1020cm- 3 ,霍尔迁移率23.3cm2·V- 1·s - 1 。低温沉积和高温沉积的薄膜经400 ℃氢气退火后电学性能的变化程度略有不同。室温沉积的薄膜电阻率下降最为显著,载流子浓度和霍尔迁移率分别提高了493 %和234 % ,高温沉积的薄膜电阻率下降幅度不大。这可能是较高温度退火提高了室温沉积薄膜的结晶性能,但对高温沉积薄膜的结晶性能无明显影响。
为了比较氢气对薄膜电学性能的影响,分别用N2气、Ar 气在同等温度条件下对样品退火,结果N2气退火使电学性能变差,Ar 气退火后电学性能无明显改善。这是因为ZnO:Al 薄膜制备过程中,Al2O3分解释放出的氧不能迅速扩散至大气,吸附在晶界处形成电子陷阱。一方面,吸附态氧捕获并固定电子,降低载流子浓度;另一方面,氧捕获电子后使晶界带负电性,形成势垒,阻碍载流子运动,使霍尔迁移率降低。氢气退火可使晶界处的氧解吸附,势垒降低,从而提高载流子浓度和霍尔迁移率,改善薄膜电学性能。N2 气在退火过程中会吸附在薄膜表面和孔洞中,并和Al 形成AlNx ,减小霍尔迁移率和载流子浓度,导致薄膜电学性能变差。
2.3、光散发出的性能剖析 图4 为不一衬底摄氏度细分积聚酰亚胺膜的分光光度计2探及散发出光谱图。聚酰亚胺膜呈现出来非常好的透光率,更高散发出率高达92 % ,在探及光区的月均反射光率达85 %上面,散发出谱的上下波动是由光在聚酰亚胺膜与衬底界面显示当中的抵触出现的。散发出谱在近分光光度计区有个陡峭的消化边,这与ZnO 的真接的带隙成分有观。ZnO 为真接的带隙光电器件,消化比率α达到方程组式:(αhν) 2 = A ( hν- Eg) (2)
A 是与用料光于的常数, Eg 为禁下行带宽度, hν为光量子势能,释放指数公式计算α可由公式计算:α= 1/ dln (1/ T) (3)
得出, d 为薄膜厚度, T 为透射率。作(αhν) 2~ hν关系曲线,其线性部分的延长线与横轴的交点即为薄膜的禁带宽度Eg 值。所做曲线如图4 的插图所示。结果表明,随着衬底温度的升高,薄膜禁带宽度由3.39eV 逐渐增大到3.61eV , 但当衬底温度超过500 ℃后,禁带宽度又会变窄。这种变化趋势和薄膜的结晶性能及电学性能有关,结晶质量越好,电学性能越佳,禁带越宽。
图4 不同衬底温度下沉积薄膜的透射光谱(插图为(αhν) 2~ hν关系曲线) 图5 400 ℃氢气退火对不同衬底温度沉积薄膜禁带宽度的影响(插图为△Eg~ n2/3关系图)
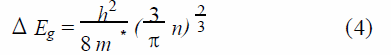
图5 右图为400 ℃氮气降温处理对各种衬底摄氏度积聚塑料溥膜的禁上行带宽度的影向。降温处理后塑料溥膜禁带展宽。禁带展宽不良现象是由Burstain-Moss 相应促使的,据该原理,逐渐塑料溥膜中载流子盐有机废气浓度的不断增加,半导体器件器件变回n 型简并态,费密能级升高到导带中,价带中的电子无线可以更加高的消耗的能量提震撼力跃迁至导带中的震撼级,能比于塑料溥膜的有效地光学材料带隙被展宽了△Eg 。在n 型半导体器件器件,B - M 相应促使的带隙展宽与载流子盐有机废气浓度内的密切关系为:
其中, h 为普朗克常数, m*是电子在导带中的有效质量, n 为载流子浓度。根据公式, △Eg 与n 2/3成正比。图5 插图即为实际禁带展宽△Eg 与载流子浓度n 2/3的关系曲线,基本呈线性关系,与公式一致。结果表明实验制备的ZnO:Al 薄膜的禁带宽度变化服从Burstain-Moss 效应。衬底温度升高、氢气退火均使载流子浓度增大,导致禁带展宽。
3、结论
用射频磁控溅射法制备的ZnO:Al薄膜具有六角纤锌矿结构,c 轴择优取向明显,可见光区的平均透射率达85 %以上。衬底温度和氢气退火对薄膜性能有显著影响,500 ℃制备的ZnO:Al 薄膜经400 ℃稀释氢气退火30min 后电阻率最小,为5.1 ×10 - 4 Ω·cm。室温沉积的ZnO:Al 薄膜结晶性差,膜内存在压应力。适当的衬底加热使薄膜结晶质量提高,电学性能改善,透射波谱蓝移,禁带展宽。氢气退火使薄膜电学性能提高的原因主要是氢气对吸附态氧的消除。退火后薄膜的可见光透射率无明显改变,禁带宽度由3.39eV~3.61eV 展宽到3.65eV~3.74eV。禁带展宽现象和Burstain-Moss 效应有关,载流子浓度增加,禁带展宽。













等正离子体增进检查是否气相色谱仪火成岩(PECVD)是只依靠微波加热或频射等使含带pe膜
电阻解耦的方法是由接地系统的击穿室(由结合常数比较小的材料如石英晶体制成)
从ZnO透明膜的单晶体组成部分、光电科技使用性能参数、电学使用性能参数、光电科技属性、气敏属性
ECR亚铁离子源徽波能力使用徽波发送窗(由卫浴陶瓷或石英晶体提炼出) 经波导或天
反映磁控溅射新技术是基性岩有机物保护膜的具体玩法之中。基性岩二元成分表