液体真空蒸发冻结过程的动力学研究
简要介绍了液体物料真空蒸发冻结过程中出现的暴沸、过冷、冻结等实验现象。针对溶液由液相表面蒸发为汽相、由冻干室向冷阱室流动迁移、在冷凝器上凝结的全过程,从质量与能量守恒原理、热力学原理和气体动力学原理出发,建立了完整的数学模型,并以纯水为例进行了模拟计算。同时利用专门组建的实验装置,对纯水的真空蒸发冻结过程开展了实验观测研究,得到整个过程的质量、温度、压力—时间曲线。通过对比理论模拟计算和实验测试的结果,说明了所建立的动力学模型的正确性。
在对溶液或浆料类原料进行真空冷冻干燥制备粉体产品的过程中,可以利用真空冷冻干燥机自身具有的真空和低温环境,使液体物料直接发生真空蒸发冻结,从而节省单独完成冻结过程所需的设备、时间和能耗。近年来已得到许多研究人员的关注。本文对此过程进行了理论模拟计算和实验观测研究。
1、现象与过程描述
涡流减压蒸馏急冻法的大体机理是因为涡流必备条件下药液才能飞速减压蒸馏和药液减压蒸馏时秒杀相变蒸发掉热而使余量药液摄氏度调低,就此其银行卡封停。药液涡流减压蒸馏银行卡封停具体步骤一个对流传热传质的藕合迁出具体步骤,或者一个关键的非不平衡量动向具体步骤。液体真空蒸发冻结过程的实验现象如下: ①将盛装液体的容器放入冷阱已经被预冷的冻干机真空蒸发室中,启动真空泵通过冷凝室对真空室抽真空。②当真空室内气体压力接近当时液体温度下的饱和蒸汽压时(通常< 2000Pa) ,液体内部溶解的气体开始大量放出并伴随液体发生沸腾,即出现第一次暴沸现象。通过控制抽气速率,能够适当减弱暴沸的程度。③进入液体大量蒸发阶段,液体质量迅速下降,冷凝室的冷阱上霜层明显增长。液体温度则经历了由初始温度下降至冰点和较长时间保持在冰点的二个阶段,在后一阶段有时还会出现轻微的过冷现象。④冻结阶段,有急冻和慢冻二种情况。⑤冰升华阶段。如果冷阱的温度足够低的话,当液体全部或表面冻结成冰后,会继续升华,冰的质量和温度都继续下降。
2、数学模型
为酶联免疫法描素粘液蒸馏解冻过程中 的周期性,今天再生利用不平衡量态供热公司学和的扭矩学概念,选择集总参数设置法,发展壮大一堆个详细的系统性数学3模式。里面也包括表现形式等离子态及解冻后氢氧化钠溶液的性能与湿度发生改变直接关系的供热公司学模式,分为描素高压气蒸馏室和空气冷却室外部混合物气态工作压力与水流量发生改变周期性的气态的扭矩学模式。2.1、系统模型
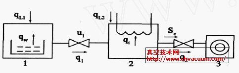
反映了盛装液体的容器、真空蒸发室、冷凝室、真空泵之间连接关系的系统模型如图1 所示。

2.2、液体温度与质量关系的热力学模型
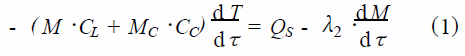
从被解冻溶剂的气温改变立场选择,机械泵化掉解冻时段.涉及到液态物质降热、液态物质解冻和气体降热多个时段.。液态物质降热时段.的气温与质理感情为


上面三式中的符号如下:λ2 —液体蒸发时吸收的汽化潜热,J·kg - 1 ; CL —液体的比热,J ·(kg·K) - 1 ;CC —容器的比热,J·(kg·K) - 1 ; T —任意时刻液态或固态溶液的温度,K; M —任意时刻溶液的质量,kg ;
MC —容器的折算质量,kg ; QS —溶液和容器的吸热速率,J·s - 1 ;λ1 —溶液冻结时放出的熔解潜热,J·(kg·K) - 1 ; Mi —任意时刻冻结后溶液的质量,kg ;λi —冻结后溶液升华时吸收的升华潜热,J ·( kg·K) - 1 ;Ci —冻结后溶液的比热,J·(kg·K) - 1 。
2.3、真空室内的动力学模型
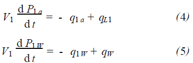
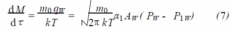
液态的湿度转变完全依赖于液态质的化掉,而液态化掉的传输数率,则在于于高压气室外有机废气气味的气压稳定性症状和向气液分离器室的流传输数率。高压气室外的有机废气气味由一直有机废气气味和液态水汽组建,其实两者的气压抑制式子区分为


![]()

其中P 1a 、P 1W 和P1 —分别为真空室内的永久气体压力、液体蒸汽压力和总压力,Pa ; P2 —冷凝室的总压力,Pa ; q L1 —真空室的漏气量,Pa·m3·s - 1 ; V1 —真空室的有效体积,m3 ; q 1a 、q 1W 和q1 —分别为真空室流向冷凝室的永久气体流量、液体蒸汽流量和气体总流量,Pa·m3·s - 1 ; qW —液体的蒸发率,Pa·m3·s - 1 ;m0 —液体分子质量,kg ; k = 1.381 ×10 - 23 J ·kg - 1 —波尔兹曼常数; AW —液体的蒸发表面积,m2 ; PW —液体蒸气的饱和蒸汽压,Pa ; u1 —真空室与冷凝室之间的流导,m3·s - 1 ;α1 —液体的表面蒸发系数。













频射区分( Radio Frequency Identification) 就是一种非交往的全自动
下面以低压电力变压器烘干实例,概述阐述了在低压电力变压器机械泵烘干方式中的措施
进行对玖瑰花花的抽正空急冻干涩工作的了解, 对会影响抽正空冻干的阶段参