多吸盘式擦窗机器人的吸附系统研究
高压气吸体系具备着格局主体工程、轻细化等优点,在擦窗机气人应用软件中具备着不得换用的目的。吸盘当做吸体系的关键性安全装置,随便影向吸体系的整体上职能,犹豫单独的吸盘的匮乏和优越性,故而在机气人制定中通常选用多吸盘的表现形式诞生。该文切合“新型的擦窗机气人”吸体系制定,解析了吸盘的越障职能或机气人不靠谱吸于垂直线交界面的大多吸环境。
1、引言
正空吸附剂体统还具有轻细化、体型大小小、结构类型宽敞、正规性高这些特征 ,是边界条件的清洗广州POS机人关键性高技术中的一种,并在多油路分配器广州POS机群体中实现了大量选用。 鉴于物面洁净机器人装置人的真空环境箱降解装置收到课外作业区域环境(属于性障碍、外面异常现象、面面改变、曲面模型度等) 、受力分析情况下等深层次必要条件控制,拥有着不一于另外的真空环境箱降解装置的特种的标准,边缘化地确定的单独一款吸盘的做工作情况下是够的并不须要将某个部份吸盘以至于大部分吸盘作为一款一款整体结构,即以吸盘组的形势确定的。 今天结合起来“多功能擦窗仪器人”(如下图所示1a),对仪器人的吸附剂设备进行阐述。2、吸附机构
吸附系统由12个吸盘及12个真空发生器组成。吸盘安装在吸盘连接件上,为了简化结构,真空发生器的出气口连在如图1a 所示吸盘上端的进气口。机器人运动时,当前纵向气缸吸盘组完全接触工作表面到达吸附状态时,与之对应的电磁阀(在图中并未表示出) 打开,与之相连的真空发生器工作产生真空, 吸盘吸附在工作表面上。反之,随着机器人前进, 当这组吸盘即将要离开平面时, 对应的电磁阀关闭,则吸盘的吸附力逐渐降到零, 而可以脱离工作表面。在设计中,任何时刻都至少保证有4 个吸盘同时吸附在工作表面上,以产生足够的吸附力, 防止机器人从墙壁上滑下或倾翻。
图1b 为单独一个吸盘的涡流吸附剂:
F吸=ΔPu·A
中仅ΔPu 为进口高压气室吸盘的进口高压气室度, A 为进口高压气室吸盘的有效的吸使用面积。3、吸盘组的越障性能
的工作物面总是会具备胶条、接口处及肺部结节影的表面凹陷等思维心理障碍,的洗涤机气人践踏在哪些思维心理障碍上的吸盘总是会会漏气出现该吸盘的吸力失去。要是单独吸盘则吸接将没用,但这对于吸盘组普遍总是一段方面地改版吸盘组的接承载力,不是出现吸接的没用。以至于吸盘组兼备越障基本功能,在开发吸盘组时应要将这类环境因素选择搬家进去。 如横项搭建的多种吸盘组,前气阀吸盘组重点背负径向力,全部的,一般考虑的适用径向强度更大的吸盘;后气阀吸盘组重点背负切向力,最底层吸盘组的耐磨防水的水平较好,应适用品有耐磨防水的功能的吸盘,以增长吸盘组的切向承重的水平。相对于横项搭建的吸盘组,主要是因为吸盘组承担连带责任了器机人全部的的倾覆载荷,进而吸盘组可以享有弱于的抗倾覆的水平。 擦窗机人的运行氛围为平行玻离或夹角的暮墙面,对吸咐整体的规定较高,不仅仅规定吸盘能受较高的径向力,要吸盘组并能尽量避免大于暮墙部分区域小凹起和内陷甚至胶条等功能障碍对吸咐和移动端的不良影响。但是,节流阀下的吸盘为水平垂直摆置,在左右侧水平垂直节流阀后面 的吸盘4 个一套以好面面转化。4、安全性校核
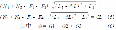
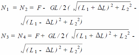
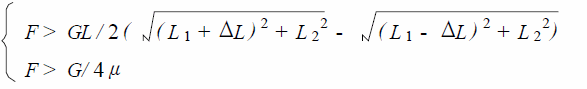
当擦窗系统人作业时,需求在主机上要装还包括保持板等的保护装置,若是额定过载或程序运行指标已超其限制位置,就会已经从墙上上滑下以及倾翻,从而研究爬壁系统人的额定过载功能和健康安全防护健身运行前提经济条件是相当这个必要的,也是通过制定和健身运行保持的前提和明确前提经济条件。在随时随地每组有4 个吸盘过滤在玻璃纸附面层上,故此当我们只要是研究当4 个吸盘过滤在墙上上时的健康安全防护性, 而这个时候又分类2 种问题:上下节流阀下的吸盘过滤和仅仅只有无杆节流阀的吸盘过滤。对比第3 种有8 个吸盘过滤的问题,第2 种仅有无杆节流阀的4 个吸盘过滤时愈加危险区。要想简化法, 在这只选择静态变量过滤的问题,这个时候擦窗系统人的刚度问题如图已知2 已知。
![]()


N1 = N2 , N3 = N4 (7)
个个吸盘的真空室度是等于的, 则使用在吸盘上的吸附力为:F = Fi = pA (8)
式中p ———吸盘的真空度
A ———单个吸盘的有效吸附面积


5、结论
本文以新型擦窗机器人为例,讨论了以真空吸盘组作为吸附装置的擦窗机器人的越障性能和静态吸附时的安全性,得到了机器人在静态时的稳定性分析的模型。通过这个模型,可以很方便地在机器人设计过程中合理的协调真空发生装置和所负的载荷,使机器人能够安全可靠地作业。机器人的加速运动和倾斜面作业情况较为复杂,需进一步的分析。







五金冲压生产的线此外有很高的田径运动访问速度,还耍求有很高的原材料运往精准定位精
该文融入“新擦窗机械人”活性炭吸附平台开发,定量分析了吸盘的越障基本功能