基于Pro/E的弧面分度凸轮参数化设计及有限元分析
以弧面测量范围轴承工做线条面方程式组为前提,单独合理利用率Pro E 中的申请这类卡种曲线提额图ps命令行打造笛卡尔方程式组申请这类卡种曲线提额图,合理利用率轮廓混和ps命令行合成斜面,合并为斜面,实行线下实体化显著特点。用Pro/E智能家居控制的现有元模块图片Pro/MECHANICA实行框架的现有元剖析,实现空态剖析、失稳剖析、模态剖析受压云图,为整改设定展示 了基准证据。模式的相符性好、数值完整的,摆脱了的专业现有元剖析图片软件前除理不充足的短处,增强了现有元剖析的工做有效率。 摘要 弧面量程气缸机购在驱动组成力学性能指标、承受力效果、量程的要求各种量程的快速上班方面均有不才能移就的优质性。适用Pro /E5. 0 应用对弧面量程气缸特性做出指标值值化绘制 制作,以指标值值化绘制 的特性设立重要性的系类化关连点,转换成系类化车辆设备的绘制 。并对弧面量程气缸做出组成解析,至少找出扯力单薄处,为的提升元器件开发管理強度能提供规范,确认车辆设备的开发管理的有效应性,抑制开发管理投资成本,节约开发管理阶段。Pro/Engineer Wildfire5. 0 应用是PTC 我司由于一些数据库表格信息库、指标值值化、特性、全重要性及工程建筑数据库表格信息再根据等概念呢开发管理出的一些技作用量强大的CAD/CAE /CAM 应用。Pro/Engineer 的较大显著特点就会由于特性的指标值值化绘制 制作,指标值值化绘制 以自律来表明车辆设备的绘制 的外形特性,以四组指标值值来控制开发管理报告单,于是使用调节四组指标值值值方面地撰写一系类是类似的元器件。其自建的Pro/MECHANICA structure 是集冗余、情况组成解析于合二为一的是有限的的元传感器,才能仿真实际环镜为绘制 施加压力自律及承载力,做出冗余解析、失稳解析、模态解析等。与目前拥有流行的是有限的的元解析应用前办理技能相信,绘制 制作效果主要优势分明,绘制 的统一性好、数据库表格信息全版,于是可的提升开发管理上班效应。
1、弧面分度凸轮三维建模
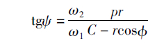
1.1、弧面量程气缸估算计算方式 弧面量程气缸操作轮廊面方程组:








