滑阀真空泵的能耗和节能
滑阀泵的能耗主要是压缩功、磨擦、液压撞击和机械撞击损失。
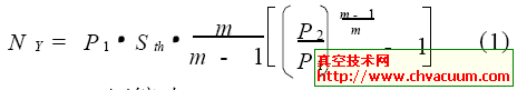
压缩功
压缩功是随入口压力的变化而变化的,可按式
(1) 计算:
式中NY——压缩功,kW
P1——入口压力,Pa
P2——排气压力,Pa
Sth——理论抽速,m3/s
m ——多变指数,一般取m =1.3
压缩功在(3.3~4)×104Pa之间有最大值:
气镇消耗功率
气镇是为泵所抽气体中含有少量水份或为消除泵油中含有少量水份而设置的。
气镇消耗功率也是压缩功。它与镇气量B和入口压力P有关,一般泵在气镇时的允许入口压力为(2~4)×10E+3 Pa,个别达到7×10E+3 Pa。
图3 给出了H2150泵在镇气量B与抽速S之比为6%时的消耗功率与入口压力之间的关系曲线,从图中可以看出,在泵的功率消耗中,气镇消耗功率是一个不可忽略的重要组成部分。
图3 H2150泵功率曲线(B/S=6%)
磨擦损失
磨擦损失在滑阀泵的能耗中占有相当大的比例,尤其在低压时,气体压缩量很小,泵的功率绝大部分都消耗在磨擦损失上。据有关资料介绍,磨擦功约占总消耗功率的(25~30)%。
机械磨擦损失
它包括滑阀与泵盖之间、滑阀与泵体(大缸)之间、滑阀与偏心轮之间、滑阀与导轨之间、导轨与泵体(小缸)之间的磨擦损失。它与二个相互摩擦的零件之间的间隙有关,从这个角度出发,为了减少磨擦损失,间隙应取大一些为好,但又容易造成泵性能的下降,因此间隙应相互兼顾。需要指出的是,有时间隙偏大,对极限压力的影响并不大,但对抽速会有一定的影响。
机械磨擦损失与泵的入口压力(即零部件所受的力)有很大关系,也与零部件的质量与粗糙度有关。其中偏心轮与滑阀(环)、滑阀(杆)进气侧与下导轨之间的磨擦最为重要,所受的磨擦力最大。因此也曾有过在偏心轮与滑阀(环)之间安装滚动轴承的尝试。
轴承磨擦损失
这也是一种机械磨擦损失,正常情况下它很小,但当轴承配合过盈量过大,致使轴承滚道变形时,它的磨擦损失就会显著增加。
二个轴承的中心线与主轴中心线歪斜,或者由于轴的刚度不足,致使轴承内外圈偏斜较大时,对于那些非调心轴承来说磨擦损失也会明显增加。
油磨擦损失
在参与机械磨擦的各零部件的间隙中,工作时充满了真空油,它既参与了磨擦,减少了机械磨擦,还参与了压缩。因此进油量的大小也足以影响泵的功率消耗,当进油量过大时,真空泵又成了油泵,功率自然就增加了。
油的粘度随温度的变化较大,则克服油磨擦所需要的功率也随温度而变化,尤其是泵的起动功率随温度影响特别明显。我国南北温差大,在滑阀泵标准中规定泵的工作环境温度为5~40℃,也即要求泵在5℃时能正常起动。我们曾测试美国某公司的412H(抽速为141.7 L/s)泵在室温5.5℃时的瞬时起动功率为33.4kW。该公司为412H所配套的电机有二种,即7.5kW 和11kW。考虑到我国的使用环境和工作条件,泵出口到我国时均选配11kW电机。

















泵是传送夜体或使夜体增压的机设备制造。它将原心理的机设备制造能或任何外表
讲叙了普遍的真空环境抽气泵的工作的运作使用的原理,并拿到抽气图。
水环式机械泵泵是液环式机械泵泵中最经一般的其中一种。当事业粘液为水时,
罗茨泵是一个种无内减少的进口真空环境泵,一般减少比很低,故中、高进口真空环境罗
罗杆泵V密生成:可以要求五个封好经济条件,可以生成封好积。小编图
下面叙说了大分子泵的基本的结构的和工作上原理图图。
大分子泵的抽气研究进展与机器泵靠泵腔容量变迁通过抽气的研究进展各个,利
离心法泵的一般能规格包涵访问量Q、扬程H、转化率、轴工作电压N,这篇文就