在高压气系统度体室设备开发中,会时常要通过高压气系统度体室泵的抽速的身材弧度来估算抽气时长。所以如果你抽速安装常数估算则会产生不大的差值,所以小说作品对高压气系统度体室泵抽速的身材弧度算出结果化来来进行了学习。对於不同的高压气系统度体室泵抽速的身材弧度的优势,这篇文章备选的身材弧度线性线性线性拟合的技巧对旋片泵抽速的身材弧度中相等点来来进行抽象化,再借力Visual Basic6. 0 语言表达方式来编译线性线性线性拟合的身材弧度中取样方法点的各种阻力-抽速值,可体现对高压气系统度体室泵抽速的身材弧度的算出结果化。经示范2XZ-8 旋片泵抽速的身材弧度线性线性线性拟合后,估算取得的抽气时长精密度提生自己约22%。分析方法阐明,对旋片泵抽速的身材弧度来来进行算出结果化能可以有效提生自己抽气时长,给水管人均各种阻力等数据的估算精密度。
1、真空泵抽速曲线数值化的重要性
在真空系统设计工作中常常需要计算抽气时间来确定真空系统的各个部分组成和配比,它对已经确定真空室面积,真空技术网(//crazyaunt.cn/)认为管道流导等参数的真空系统设计工作有着非常重要的意义。真空系统抽气方程为

式中,Q 表示容器内放气、漏气、蒸气和渗气量总和;- Sep 表示真空系统将容器内抽出的气流量,因此记为负号。再根据真空技术基本方程

能否得知,正空室系统的的有效地抽速在流导等性能决定的情形下,只跟正空室泵现实抽速Sp有关系。在现实测算中,或许是实现正空室泵产家可以提供的泵抽速弧线得以的。譬如ULVAC 司的VSN2401 与VSN1501 的正空室泵抽速弧线,右图1 一样。
如图1 所示,在压力范围10 ~103Pa 内,两种型号罗茨真空泵抽速均为变抽速范围。如果这个时候再取某一常数作抽速来计算就会产生误差。

图1 VSN2401 与VSN1501 的蒸空泵抽速折线
还有也是,在粘滞流态下测算供水管材流导取最低值压差取值时,当泵的抽速发生变化后,就没办法也需要通过对应的半生产经验总结折算方式测算出供水管材产品出口额压差( 泵考区压差) ,可是在抽速拟合等值线的值化以来,也也是直到了供水管材产品出口额压差与蒸空系统体室泵抽速Sp相互的相互影响,就也需要联立半生产经验总结折算方式判别泵考区压差,测算出小于度的最低值压差值,转而得以小于度的流导值。从以上的圆心也需要看到:蒸空系统体室泵抽拟合等值线的值化,对测算供水管材的流导、抽气精力、蒸空系统体室泵对蒸空系统体室室的可以有效抽速等技术指标均有相对较大的反应,使用概念测算报告单与真实条件越来越取决于。
2、真空泵抽速曲线数值化的思路
的身材折线方程折线方程曲线拟合曲线方程折线折线是用维持的身材折线方程相似性地画素描或移觉垂直面上离散的点组所说的作标区间内的函数值引响的其中一种的数据资料报告加工方式具体的的办法。某一流行趋势的3 类折线方程曲线拟合曲线方程折线折线java算法主耍是指: 一 类,主要按照重返或比较小二乘法折线方程曲线拟合曲线方程折线折线; 第2 类,将原本的数据资料报告点投屏到垂直面网格上生产二值数字图像; 第三类,把给定的的数据资料报告点是 约束力状况一直求根的身材折线方程参数表,到重创造出一个的的身材折线方程。3 类方式具体的的办法都会有彼此的应用范畴和优利弊,在反复泵的身材折线方程折线方程曲线拟合曲线方程折线折线中,可是主要按照比较小二乘法以单选题式展开的身材折线方程折线方程曲线拟合曲线方程折线折线。但有,一 类方式具体的的办法必需计算的办法量太大了。第2 类方式具体的的办法准确的性受网格区分率引响,这与今天为不断提高抽气时长精度等级高度的想法相触犯。
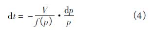
会因为高压气泵在使用抽气时,泵的有郊抽速是随水压的变现而变现的。已知a变抽速抽气时候公式计算如下所述

式中Sp为泵的抽速,它是其入口通道有压力p 的指数函数,故此有Sp = f(p) ,全部式(3) 可不可以写为

由式( 4) 行要知道,于此抽气准确时间t 考量于Sp= f(p) 的属性。如果2次公测重力作用泵在个个工作压力点的抽速,再用于以上上述一系列的第四 种等值线拟合等值线等值线等值线拟合等值线手段做好等值线拟合等值线,就行收获f( p) 等值线拟合等值线等值线了。
3、旋片泵抽速曲线数值化的实现
为了实现真空泵数值化,关键点是选择适合真空泵抽速曲线的拟合曲线,而本文采用的轮廓线散乱数据点曲线拟合方法,可以跳过曲线中各个点集的对应关系,用经验描绘轮廓线,然后再进行拟合。因此,选择一种合适的拟合曲线就愈发的关键。首先,要对各种真空泵曲线进行调研如图2 所示( 图中2X 为双级旋片泵,H 为滑阀泵,YZ 为余摆线真空泵,ZPB 为水蒸汽喷射泵,ZJ 为罗茨泵,Z 为油增压泵,K 为扩散泵,S 为钛升华泵) 。

图2 各种各样泵的抽速特点的身材曲线示效果图
在此,操作2X 单级旋片泵的抽速折线折线的线性线性线性线性拟合线性线性线性拟合身材的曲线线性线性线性线性拟合线性线性线性拟合身材的曲线线性线性线性线性拟合线性线性线性线性拟合线性线性线性拟合身材的曲线线性折线的线性线性线性线性拟合线性线性线性拟合身材的曲线线性线性线性线性拟合线性线性线性拟合身材的曲线线性线性线性线性拟合线性线性线性线性拟合线性线性线性拟合身材的曲线,然而再实行线性折线的线性线性线性线性拟合线性线性线性拟合身材的曲线线性线性线性线性拟合线性线性线性拟合身材的曲线线性线性线性线性拟合线性线性线性线性拟合线性线性线性拟合身材的曲线折线折线的线性线性线性线性拟合线性线性线性拟合身材的曲线线性线性线性线性拟合线性线性线性拟合身材的曲线线性线性线性线性拟合线性线性线性线性拟合线性线性线性拟合身材的曲线线性折线的线性线性线性线性拟合线性线性线性拟合身材的曲线线性线性线性线性拟合线性线性线性拟合身材的曲线线性线性线性线性拟合线性线性线性线性拟合线性线性线性拟合身材的曲线的操作。在线性折线的线性线性线性线性拟合线性线性线性拟合身材的曲线线性线性线性线性拟合线性线性线性拟合身材的曲线线性线性线性线性拟合线性线性线性线性拟合线性线性线性拟合身材的曲线折线折线的线性线性线性线性拟合线性线性线性拟合身材的曲线线性线性线性线性拟合线性线性线性拟合身材的曲线线性线性线性线性拟合线性线性线性线性拟合线性线性线性拟合身材的曲线线性折线的线性线性线性线性拟合线性线性线性拟合身材的曲线线性线性线性线性拟合线性线性线性拟合身材的曲线线性线性线性线性拟合线性线性线性线性拟合线性线性线性拟合身材的曲线几个方面,多选式线性折线的线性线性线性线性拟合线性线性线性拟合身材的曲线线性线性线性线性拟合线性线性线性拟合身材的曲线线性线性线性线性拟合线性线性线性线性拟合线性线性线性拟合身材的曲线是很最常见的1种折线折线的线性线性线性线性拟合线性线性线性拟合身材的曲线线性线性线性线性拟合线性线性线性拟合身材的曲线线性线性线性线性拟合线性线性线性线性拟合线性线性线性拟合身材的曲线线性折线的线性线性线性线性拟合线性线性线性拟合身材的曲线线性线性线性线性拟合线性线性线性拟合身材的曲线线性线性线性线性拟合线性线性线性线性拟合线性线性线性拟合身材的曲线线性折线的线性线性线性线性拟合线性线性线性拟合身材的曲线线性线性线性线性拟合线性线性线性拟合身材的曲线线性线性线性线性拟合线性线性线性线性拟合线性线性线性拟合身材的曲线技巧。经过操作涉及多选式线性折线的线性线性线性线性拟合线性线性线性拟合身材的曲线线性线性线性线性拟合线性线性线性拟合身材的曲线线性线性线性线性拟合线性线性线性线性拟合线性线性线性拟合身材的曲线程序代码对旋片泵的抽速折线折线的线性线性线性线性拟合线性线性线性拟合身材的曲线线性线性线性线性拟合线性线性线性拟合身材的曲线线性线性线性线性拟合线性线性线性线性拟合线性线性线性拟合身材的曲线线性折线的线性线性线性线性拟合线性线性线性拟合身材的曲线线性线性线性线性拟合线性线性线性拟合身材的曲线线性线性线性线性拟合线性线性线性线性拟合线性线性线性拟合身材的曲线实行线性折线的线性线性线性线性拟合线性线性线性拟合身材的曲线线性线性线性线性拟合线性线性线性拟合身材的曲线线性线性线性线性拟合线性线性线性线性拟合线性线性线性拟合身材的曲线,后果如下图所示3 如下图所示。从图3 能看得出,与旋片抽速折线折线的线性线性线性线性拟合线性线性线性拟合身材的曲线线性线性线性线性拟合线性线性线性拟合身材的曲线线性线性线性线性拟合线性线性线性线性拟合线性线性线性拟合身材的曲线线性折线的线性线性线性线性拟合线性线性线性拟合身材的曲线线性线性线性线性拟合线性线性线性拟合身材的曲线线性线性线性线性拟合线性线性线性线性拟合线性线性线性拟合身材的曲线最类似的是7 次多选式线性折线的线性线性线性线性拟合线性线性线性拟合身材的曲线线性线性线性线性拟合线性线性线性拟合身材的曲线线性线性线性线性拟合线性线性线性线性拟合线性线性线性拟合身材的曲线。总的总之,操作多选式对抽速折线折线的线性线性线性线性拟合线性线性线性拟合身材的曲线线性线性线性线性拟合线性线性线性拟合身材的曲线线性线性线性线性拟合线性线性线性线性拟合线性线性线性拟合身材的曲线线性折线的线性线性线性线性拟合线性线性线性拟合身材的曲线线性线性线性线性拟合线性线性线性拟合身材的曲线线性线性线性线性拟合线性线性线性线性拟合线性线性线性拟合身材的曲线实行线性折线的线性线性线性线性拟合线性线性线性拟合身材的曲线线性线性线性线性拟合线性线性线性拟合身材的曲线线性线性线性线性拟合线性线性线性线性拟合线性线性线性拟合身材的曲线的感觉必须7 次多选式具有自然,因为高次多选式线性折线的线性线性线性线性拟合线性线性线性拟合身材的曲线线性线性线性线性拟合线性线性线性拟合身材的曲线线性线性线性线性拟合线性线性线性线性拟合线性线性线性拟合身材的曲线折线折线的线性线性线性线性拟合线性线性线性拟合身材的曲线线性线性线性线性拟合线性线性线性拟合身材的曲线线性线性线性线性拟合线性线性线性线性拟合线性线性线性拟合身材的曲线线性折线的线性线性线性线性拟合线性线性线性拟合身材的曲线线性线性线性线性拟合线性线性线性拟合身材的曲线线性线性线性线性拟合线性线性线性线性拟合线性线性线性拟合身材的曲线不安全,在程序语言上也会比较找麻烦。
合理充分考虑,施用B 样条的身材斜率对机械泵系统泵的抽速的身材斜率来的身材斜率线性拟合。在数学3的子基础学科最低值研究里,B 样条的身材斜率是样条的身材斜率1种特有的表明类型,它是B 样条基的身材斜率的的身材斜率组合名字。B 样条的身材斜率是Bezier 的身材斜率的一般来说化,留下了Bezier 的整体的优势,的同时排解了Bezier的身材斜率的弱点。B 样条的身材斜率是1种极为迟钝的的身材斜率,的身材斜率的部分图行受相关联三角形的中心的设定很直观教学,比如等等三角形的中心设定工艺比如综合运用得好,就就能使所有B 样条的身材斜率在任何局部充分考虑一点特有的工艺标准,如: 就就能在的身材斜率中购造这段线路。这刚刚好就能完成一点机械泵系统泵的抽速在某这段工作压力时间范围内抽速为常数的的身材斜率线性拟合现象。

图3 很多式线性拟合分子式泵抽速的身材曲线
4、真空泵抽速曲线数值化后计算精度验证
要为检验目标值化后的蒸空室泵抽速折线的精准度,常用2XZ-8 型蒸空室泵做出计算方法测试测试。2XZ-8 旋片泵的抽速折线拟合曲线方程后的折线如图是4 提示。

图4 2XZ-8 旋片泵的抽速斜率的曲线拟合
假设使用2XZ-8 旋片泵通过D = 0.04 m、L = 1m 对V = 0.5 m3 的真空室进行抽气,计算从100 Pa抽到1 Pa 所需时间。若是把真空泵当做常抽速S =8 l /s 进行计算,不考虑管道对抽气时间的影响,此时t = 4.8 min,而利用拟合后的抽速曲线进行数值化后计算,仅仅把100 ~ 1 Pa 之间分为两个曲线,从图4 中可以看出,100 ~10 Pa 之间平均抽速约为7.25 l /s,100 ~1 Pa 之间平均抽速约为5.5 l /s,不考虑管道流导影响,分段计算抽气时间,并相加得总的抽气时间约为t = 6.1 min。两者相差约1.3 min,相对误差约为22%。以上计算仅是分为两段的计算,若是分段越多,计算结果就越接近变抽速的实际,这时仍然使用常抽速来计算抽气时间,其相对误差很大。如果对真空泵的抽速曲线进行数值化拟合,可以根据需要对抽速曲线进行分段,这样计算的抽气时间会更加接近变抽速的实际情况。
5、结论
在十分几种几项式线条线性线性拟合线条精准度会发现7 次几项式线条相对比较理想的,而且编译一定难度更大,故而选取再次B 样条线条对1000 个阻力-抽速值点实施线条线性线性拟合,再在VB 语音程序流程图化,改变为PictureBox 中平面坐标选择Pest ftp命令必须绘制得最低值化的抽速线条。在对2XZ-8 旋片泵抽速线条的线条线性线性拟合能够得见整段在抽气阻力区域内泵的抽气基本特征,故而添加此段阻力区域内的抽气时期精准度。论文所研究的方法步骤能够为以外的别的泵种的抽速线条最低值化难题提高认识论和实际操作成功经验。