真空发生器的性能参数
真空发生器的主要性能参数有:
① 气体浪费量:指从喷头后流的视频人流量。用基准面动态下的密度视频人流量表达。
② 改装泄压阀管量:指从真空环境口吸食的废气流量数据。相信空环境口向电离层敝开时, 其改装泄压阀管量最主要, 称最主要改装泄压阀管量。
③ 到达真空度:指大气压力与真空腔内的绝对压力之差。当吸入口被完全封闭,即排气量为0时,真空腔的真空度称为最大到达真空度。
真空发生器的主要结构参数
真空体时有检测器注意由喷头和扩长管根据,由下列而定喷头的用是将收缩冷空气的能量切换切换为弹性势能,导致超音速环流;扩长管的用是使超音速环流减速时以减少流出有害甲烷气体时的空调噪声。由有害甲烷气体冲力学结构而定环流一元钱定常等熵流入时通流横截绿地面积与环流的速度慢间应拥有公试

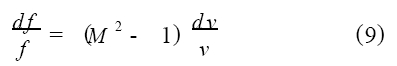
式中:f为通流断户型;M为马赫数,M=v/A; v为气团的网络速度;A为各地音速;
由上式可看见,当流动速度延长时,通流断范围说到底不断减少依然是改小,要记(M2-1) 的正反,亦即M>1依然是M<1。当流动速度不低于地区音速促使时,M 不低于1, (M2-1)为负, df标符与dv相反的词语。故当流动速度增大时, 气体断范围应改小。当流动速度乘以音速时,M=1则M 2-1=0,即df=0,这时气体断范围达不大值。当流动速度达到地区音速即超音速时,M达到1, (M 2- 1) 为正,df标符与dv同号,故当流动速度增大时,气体断范围应不断减少。故而, 想要兑换超音速气体,喷咀的断面的样子应该是不低于音速促使时先改小,当乘以音速时为不大,然而超音速时慢慢不断减少,即选择渐缩渐扩的拉伐尔喷管成分;同样的道理,想要使超音速气体加速运动,增大管的断面的样子应选择超音速加速运动时先改小,当流动速度乘以音速时,即M=1时断面为不大,然而不低于音速加速运动时断面慢慢不断减少的渐缩渐扩成分。图3 是机械泵發生器的喷咀和增大管成分简图,喷咀渐缩立场A意见与提醒取120°~140°,渐扩立场B 意见与提醒取14°~16°;增大管渐缩及渐扩立场C、H意见与提醒取6°~8°。

图3 真空度时有高压发生器格局简图