双活塞缸式气动真空发生器的改进设计及试验研究
双活塞缸式气动真空发生器相对于目前广泛使用的射流式真空发生器,它具有供给压力低、耗气量少的优点,在气动真空系统中具有很大的应用前景。文中针对原系统中设计的不足,提出了以一个抽气换向阀替代原有两个抽气单向阀的改进设计。试验研究结果表明,改进后系统的主要性能在原有基础上均有一定程度的提高,极限真空度可达93kPa,超过同级别的,在同样供给流量下,抽取1L容器真空度达80kPa时的响应时间减少了12.5%。
在工业自动化发展过程中,气动真空吸取技术已越来越广泛地应用于各种生产线上,主要用于吸取易碎、柔软、薄的非铁、非金属材料,以完成搬运、夹紧或包装等作业。目前,在生产线上广泛应用的真空发生装置主要为射流式真空发生器,压缩气体通过喷嘴的高速流动从而产生一定的真空度。根据其工作原理决定了它只能在较高的供给压力下才能达到极限真空度,并且耗气量大,不利于气动系统节能。真空技术网(//crazyaunt.cn/)前文中提出了一种新型的真空发生器PVSCTC-1(Pneumatic Vacuum System Consisting of Two Cylinders-1),工作原理如图1所示,它可在相对较低的供给压力下达到较高的极限真空度,这就有可能直接或接利用气缸排气的能量进行工作,产生真空,达到气动系统节能的目的,在工程应用中具有较高的应用价值。

1.动力腔Ⅰ 2.动力腔Ⅱ 3.真空腔Ⅰ 4.真空腔Ⅱ 5.连接管道等效容器 6.真空吸盘 7.换向阀
图1 双发动机活塞缸式气动系统涡流时有高压发生器本职工作的基本原理 一些轻型的负压度会反应器对于某种环保节能的气动系统负压度会出现配置,在充分满足基本的稳定性符合要求的条件上,客观事物应拥有较高的电能采用高效率,除非科研功用不太。借助先期的科研显示,其相应日子和耗气量这两根稳定性质量指标上较同等级的射流式细胞负压度会反应器都还具备需要的相差太多。这篇科研的目地正式借助各种相关的策略讲解,对其不够地方开始问题解决,提高了整体性性能级别。1、改进设计的理论依据
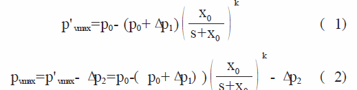
1.1、极限值真空泵度研究系统的工作原理在真空技术网另文中已叙述,当真空腔室无法继续抽取等效真空容器中的气体时,即真空腔室余隙容积中的气体完全膨胀后的压力恰等于真空容器中的气体压力与抽气单向阀开启压力之和时,达到了系统的极限状态,真空容器达到极限真空度。根据绝热过程的气体状态方程可得,系统达到极限状态时真空腔室内与真空容器(真空吸盘)所能达到的极限真空度p'vmax、pvmax分别为:

式中p0———大气压力,Pa
Δp1———排气单向阀开启压力,Pa
Δp2———抽气单向阀开启压力,Pa
s———活塞运动行程,m
x0———真空腔室余隙容积等效行程,m

式中pc———等效真空容器内气体绝对压力,Pa
V———等效真空容器容积,L
Se———系统有效抽速,L/min









简述介绍英文了高压气突发了器的工作任务的原理及操作, 刍议了高压气突发了器的结构类型
给出有一种用户自调式射流真空环境的检测器的环境承载力技木工作方案
以便提生双火塞缸式自动负压发现器体统性情况包括进一次的体统