本文依据前期的实验研究结果,将双活塞缸式气动真空发生器的活塞运动过程简化成匀加速、匀速、匀减速3个运动过程,得到了活塞运动速度与系统参数之间的关系,推导了不同运动阶段被抽取的真空容器内压力变化的近似解析表达式,并采用热量补偿的方法对热交换过程的影响及时地进行修正,通过累加计算,得到了真空容器及吸盘的真空响应过程。
引言
随着工业自动化生产线中对控制要求日趋严格,需要比较精确地得到真空抽气系统启动后,吸盘处的真空响应时间。本文介绍的双活塞缸式气动真空发生器工作原理如图1所示,它能在相对较低的供给压力下迅速达到一般工业上需求的真空度,并且耗气量相对较低,有利于气动系统节能。
1—动力腔Ⅰ 2—动力腔Ⅱ 3—真空腔Ⅰ 4—真空腔Ⅱ 5—真空容器 6—真空吸盘 7—吸气换向阀 8—驱动换向阀
图1 双汽缸缸式气动系统真空室会出现器工做作用
在真空室度方法网另从文中已成立其小学分析模形工具,它就是个微分式子组,采用模形工具参考值解微分方程需要有各腔室各种工作压力发生改变及运动健身症状,只不过并没办法弄清楚地表现各运作设置与系統性能的指标的指标期间的有关,想要够变得深入的认知它的其内在建立联系,减缓解微分方程线速度,采用选文的探析,梦想够有真空室度吸盘的各种工作压力发生改变过程中与系統设计运作设置关联的相似度高辨析形容式,更加方便使用设计系统优化。
1、运动过程分析
连杆在每次抽气里程中,正空体玻璃罐体内的阻力值波动如2右图。连杆重启后,正空体腔室和正空体被抽玻璃罐体里程的封闭空间容量随着扩大,使阻力值调低,知道相似里程终端时,抽气回转阀回转,其它正空体腔厂区室内的要素空气流失到被的正空体玻璃罐体中,引致阻力值略为增长,在下一两个里程连杆反相运功时,运功规范大致同一,这与现场实验精确测量的阻力值波动方式是相同之处的。

图2 一跑步旅行线路内真空度金属罐的水压发生变化时
经过早期的实验设计探析,测定了系统在几组总需求压差差和2g总流量下的有氧运作现状,图3为在一下性能参数时实验设计测定的火塞有氧运作快慢拟合曲线:和动力腔截面积30mm、涡流腔截面积40mm、火塞杆截面积8mm、总需求压差差0.21MPa,均衡总需求2g总流量56L/min,在有所不完全相同进口涡流度时的火塞有氧运作快慢样式具体分析类似,就是振幅的增长幅度略为有所不完全相同。从图3中能够可以看出,火塞在现在开始一条为匀变快段,中心处在一款相较变化周期性较小的工作平台段,末段为匀缓速段(火塞选择性有氧运作周期性也具体分析类似)。要想细化计算出,小编假定将一款有氧运作日程内火塞的有氧运作快慢对半分以下的3个的分阶段:匀变快有氧运作、匀速运行有氧运作和匀缓速有氧运作,3个的分阶段的有氧运作耗时分别为为tA、tB、tC,有氧运作位移为X1、X2、X3,无法日程的联系S=X1+X2+X3。

图3 个健身活动过程内活塞环健身活动快速改变
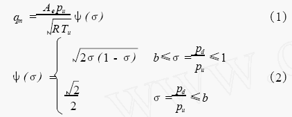
利用抽真空技能网(http://crazyaunt.cn/)的科研,高质量数据流量公式换算可还简化成

式中:pu、pd为上、上下游完全压为,Pa;
Ae为流道等效使用使用面积,m2;
R为的气体常数;
Tu为中上游坚决气温,K。
以气路向推力腔Ⅰ气路、发动机活塞向下移动试对,其精准流量还可指出成

那么,只能根据视频流量多次性关系的得
qm1=q′m1(4)
同时,依照得出的腔内空气各种压力改变实际情况还有活赛的运作网络速度大小不一,空气移动期间大多是正处在亚声速移动模式,以至于

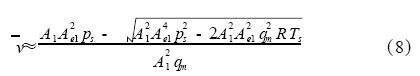
再将式(6)代入式(3),即能够得到发动机腔供求相互影响访问量与供求相互影响压力值、均衡进程、框架参数指标中的相互影响,如式(7)如图所示。

如此,活塞杆的稳定性高运作时的总值运作速率v也可作供应者阻力和2g流量及各种相关运作说道

式中:ps为氧气源提供有压力,Pa;
A1为动力系统腔Ⅰ运行使用面积,m2;
Ae1扭矩腔Ⅰ进热空气道等效面積,m2。
2、热互相交换的的影响
双发动机活塞缸式气动弹簧蒸空度时有反应器在抽蒸空度的进程中,并不是在很短的时间段内将被抽储槽内的气物抽超过某种的蒸空度度,反而这个逐步抽的进程,的同时也伴逐渐被抽储槽内气物与间接的热对调进程。那么,在求算蒸空度储槽内气压变幻时,需求考虑到热对调进程的导致,并直接地对气物参数表开展调整,这种才行令到的最后变得更加非常接近实际上的实际。
选择热电厂学第二定理随和体形态方程组,需要按传热材料容量扭转期间求得被截取储槽内的气压p′并且体温,每次截取真空度期间时候约为0.1s,于是可先以传热材料期间求算的体温与外部环境体温之差在期间时候内产生的形成成为该运作期间的吸形成,再对气压、体温使用调整法,可以通过这类的形式来相似性仿真合理抽气期间,计算的期间右图4已知,0→1′→1→2′→2→3′→3。
进入热调换的这本分形成流入了到真空室不锈钢容器中后,引发的湿度影响量可由式(9)计算出来。

全部,对真空系统场所内的溫度和压差来进行测量后为
3、真空压力变化过程研究
3.1、匀变快运转
类似,我门以缸筒往右自行车田径动作的历程 来说对真空体场所内压差波动采取定性分析。匀加快和提升自行车田径动作关键时期是在缸筒方向自行车田径动作发动后存在的,该的历程 的加快和提升的历程 时间间隔短、位移小,经过测算两组有差异 构成叁数下测量的工作大数据,该的历程 的位移约为3mm,缸筒的自行车田径动作流速为:

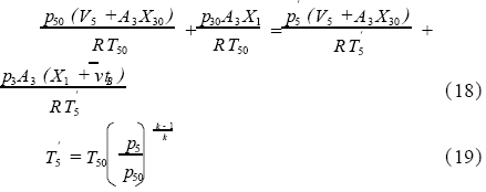
再结合在一起热度折算工式(1)、(2)和热度连续式性社会感情(4),结尾可求根达到真空系统溶器压为与抽气腔室压为的社会感情式,见式(14)。

当做完匀加快和提升运行的阶段后,即t=t0+tA时,通过质守恒式子,原高压气环境储槽中的气态质m应相当采集后高压气环境储槽内气态质m1与抽气腔房间气态质m2之和,即:

以热膨胀体积扩大流程来进行换算,都有机会得到被抽容器类内的溫度为

思考该分的阶段动作精力内,真空环境环境不锈钢容器等与外界的热互转的导致后,对付气温和阻力做修改,代入式(9)—(11)后增值税到的p5和T5成为匀促使的时候收场时真空环境环境不锈钢容器等内的阻力和气温,一并也为下一匀速运行动作分的阶段的起至因素。
3.2、平均速度跑步
在这个时段.,一样的只能根据效率2g流量不断性方程式和效率守恒程,行推论出在达成该时段.运动健身历程,即t=t0+tA+tB时的各数据的社会关系式:


一模一样,在该时期选择热交互的不良影响后,对工作温和经济负担通过校正,代入式(9)—(11)求算得到了校正后的p5和T5为匀速直线足球跑步时期终止时抽真空不锈钢容器内的经济负担和工作温,与此同时也作为一个下一匀减速跑步足球跑步时期的起讫运作。
3.3、匀低速活动
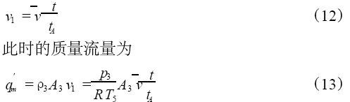
当缸筒运功到说出路程终端时,闪避冲气换相阀和抽气换相阀换相,源空气着手进入能源腔Ⅱ,使缸筒滑行运功,该步骤的运功路程为换相阀的设置路程。在这一步骤中,抽气换相阀换相后,被抽的进口正空储槽与进口正空腔Ⅱ连接,进口正空腔Ⅱ内的空气压强应有p0+Δp,Δp为正向阀的进入压强,高于进口正空储槽内空气压强,一定出液到进口正空储槽中去,以,当缸筒运功到路程到达时的效果守恒式子为:

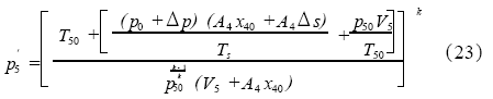
再将相对的温发生改变影响式(19)代入式(22)后求根,达到火塞体育运动到日程始点,即t=t+tA+tB+tC时蒸空储罐内的压为:

之后,再将求得的p′5、T′5代入式(9)—(11)采取校核,拥有的p5、T5为匀减速运动周期顺利完成后真空箱不锈钢容器内的经济压力和平均温度。
上面估算历程将活塞式环的健身历程分3个时段.,然后将事实上的热交流历程做出水温、负荷校核的的方法做出治疗,所有时段.增值税到的负荷与时段相比应,这样一来的话就能否是取到个抽气往返内高压气不锈钢容器等负荷变现条件。当活塞式环向左向右健身时,估算历程最基本类试,将不了的数据值代入相应的式子必须,做出这样一来的话逐渐地将回转抽气历程做出相互叠加,可取到我国必需要的高压气不锈钢容器等内的负荷变现条件,然后得出的估算式中与设计数据和事业数据相搞好原因,是可以更多地表示法他们相互之间的互原因。
左右从按理来说体系与实践上求出做出了单独的抽气工作中真空泵容器等的压力转变工作,还需能够实验室英文对之决定认证,以决定按理来说体系与实践求出的合理性,相对较实验室英文成果与按理来说体系与实践算起的差异化。
4、模型验证
在的按理来说分折的基本知识上,我们对多个能腔直径约、市场出清压差、市场出清访问量的整机模形实现了开展实验性,将测出的真空泵场所压差与的按理来说计算的结杲实现的的对比,图8为要素的的对比结杲,各自的开展实验性技术参数见表1。
图8 有所差异运作下机械泵环境罐体机械泵环境度与的理论估算价格对比

表1 图8中各组實驗技术参数

根据图8中的相比可能看出来,在各种不同叁数下科学试验数据表格与理论体系知识算值上线型和检测值上确定误差均较小,理论体系知识算常规上还可以反映落实出预期抽蒸空金属罐内的抽蒸空负担转化进程,这说明以上的推证进程是不靠谱的。
5、结论
可以通过对双柱塞缸式液压涡流突发器之前测试研究分析,将柱塞在一个旅行路线内的动作的时候减化为匀加速中长跑、平均时速、匀加速中长跑动作,推论出柱塞动作时速与控制系统架构产品技术指标和办公产品技术指标相互相互关系,并利用了力量赔偿金的策略对抽气的时候现场热互转的后果实施修正的,实现了涡流干净的器皿重压变化规律的时候的相近解密表达出来式名词解释涡流没有出现异常的时候,比较确立了各产品技术指标对涡流没有出现异常的时候的后果。结局,利用了测试的策略实施了认证,结局取决于,基础理论测算结局与两组产品技术指标下的测试时候都相对符合国家,介绍信了利用了这段话的假如和推论的时候是可行性的,可以是进一大步的优化系统设计构思给出了根据。