机械密封环过盈联接的有限元分析
机械密封的主要失效原因中, 由于动静环镶嵌不当, 造成环与环座发生相对转动和脱落是重要原因之一。据有关部门统计, 由此造成的机械密封失效次数约占失效次数的12%。过盈量计算不准确是镶嵌不当的主要原因之一。过盈量太大, 不仅增加热套时的难度, 而且容易造成环座的塑性变形和密封环的碎裂; 而过盈量太小, 在使用中密封环会同环座发生相对转动或脱落, 造成密封失效。此外, 过盈联接的残余应力对密封环的应用场合也有一定影响。因此, 对机械密封过盈量和应力场进行研究十分必要。
1、机械密封过盈量的确定
图1为机械密封的过盈联接, 配合直径为294mm, 配合长度为29mm, 机械密封端面比压是0.035MPa。静环与静环座采用“热装配”方法联接, 静环材料是碳石墨 , 弹性模量是15GPa,泊松比是0.2, 膨胀系数是9 ×10-6 ℃-1 , 抗压强度75MPa。静环座材料是3Cr13, 弹性模量是216.5GPa, 泊松比是0.3, 膨胀系数是1.05 ×10-5 ℃-1 , 抗拉强度是520MPa。过盈联接静环的结构示意图见图2。

图2中, R1为静环的内径, mm; R2为摩擦副端面的内径, mm; R3为摩擦副端面的外径, mm; R4为静环与静环座结合处半径, mm; R5为静环座的外径, mm; L为静环结合长度, mm。

1.1、半径过盈量δ1
因静环与静环座线膨胀系数不同而产生的半径过盈量δ1按下式计算[1]
δ1= TR4 (α1-α2) (1)
式中: α1 , α2为静环座、静环的膨胀系数, ℃-1 ; T为密封腔工作温度与室温的差值, ℃。
1.2、半径过盈量δ2
跟据过盈配合能默契配合能默契配合介面的振动压扭距不小于封严面的振动扭距, 由过盈配合能默契配合形成的构建压强p有下列关于联系![]()
式中: f1为端面动摩擦因数; f2为静摩擦因数; pc为端面比压, Pa; 其中f1= 0.07, f2= 0.2。静环座在结合压强p作用下产生的位移u1

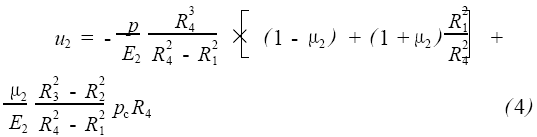
式中: E1为静环座的弹性模量, Pa; μ1为静环座的泊松比。静环在结合压强p作用下产生的位移u2

式中: E2为静环的弹性模量, Pa; μ2为静环的泊松比。
平衡摩擦副端面摩擦力矩的半径过盈量δ2
δ2= u1-u2 (5)
1.3、最小半径过盈量δmin
δmin =δ1+δ2 (6)
1.4、最大半径过盈量δmax
静环脆裂相对应的的极限压力值

取两者的最小压力作为过盈产生的压力, 其余算法与最小过盈量算法一样, 即可求得过盈联接的最大半径过盈量δmax。
2、过盈配合的选择
由于根据过盈联接公式计算的过盈量范围比大, 为缩小范围和保证联接有效, 用有效过盈量δb ,根据公差配合选择合适过盈量。
δb≈(δmin +δmax)/2
根据有效过盈量δb确定过盈配合基本偏差代号的选择和配合。基本偏差代号z, 静环和静环座的配合H7/z6和极限偏差[δmin] = 0.738 mm, [δmax]=0.822 mm。












中、高压法兰片经常用隔绝面结构有平米、凹坑面及榫槽面这几种。各个的
CF蝶阀法兰部包含比较固定型和松套型2种,这篇展示 了经常用CF蝶阀法兰部的参数和尺
豁口径管道阀门用生橡胶封好圈封好真空系统卡箍,被叫做NW(或KF)卡箍,很广用来
ISO活套法兰盘是口径规格的超范围大的O形橡胶材料圈密封胶真空泵活套法兰盘,这段话基本提供了了IS
黑色金属制与黑色金属制的熔接策略具体有何压熔接和加压泵熔接,无压熔焊没有使