绝热深冷设备真空性能的检测方法分析
正空传热深冷装备的正空功能会直接干扰其效率和生存期。进行漏率、漏放气浓度两人关健正空功能统计指标,根据事实上上查重的办法期间中会出现的点明显的情况,应用概念和事实上上查重的情况了解了正空传热深冷装备正空功能查重的办法及目前规范在运行期间的必须性和要留意地方,并再此条件上,确立了提高自己查重的办法的经由。重在更加骤提高自己查重的准确的性和准确性,个人建议完整正空传热深冷装备查重规范,确保正空传热深冷装备互联网行业最佳的成长 。 摘要 蒸空环境体传热深冷系统是进行蒸空环境体传热架构的深冷负担溶器、深冷卧式储罐溶器、蒸空环境体传热深冷焊接工艺气瓶、蒸空环境体传散热管简述钢管扣件等系统的简称。蒸空环境体传热深冷系统的举例架构例如外外壳、内封头、外外壳与内封头两者行成的蒸空环境体区域空间侧壁、侧壁内填补的传热用料。 蒸空环境系统环境传热深冷系统具备着节约能源健康等优点有哪些,是存放、公路配送温度过低固态必无法少的方式 ,伴随着温度过低固态使用更趋诸多,各大银行各业对存放和公路配送深温度过低固态的蒸空环境系统环境传热深冷系统需要量不息挺高。为了能够切实保障蒸空环境系统环境传热深冷系统在存放和公路配送温度过低固态过程中 中的人身安全系数、正规性,蒸空环境系统环境科技网(//crazyaunt.cn/)看做可以对其哪项功能来进行查测。探讨方式 蒸空环境系统环境传热深冷系统蒸空环境系统环境传热功能的指数很多很多,最包括有半层漏率、半层漏放气浓度、静态变量挥发率、漏热能等。现有管用的蒸空环境系统环境传热功能查测规范是GB/T18443-2010《蒸空环境系统环境传热深冷系统功能冲击试验方式 》。最包括从漏率、漏放气浓度好几个关键的蒸空环境系统环境功能指数查测方式 发团,整合这么多年查测实践经验,探讨了现有规范可信度性和还要注意事宜,给出了系统优化查测方式 的方式,进1步挺高查测的精确度性和正规性,为之后更加完善蒸空环境系统环境传热深冷系统查测方式 和涉及规范修订版作为了基本原则,便于积极推动蒸空环境系统环境传热深冷系统业内有效的发展方向。
1、漏率检测方法分析
1.1、内层漏率检侧有必要的性真空绝热深冷设备的真空夹层必须维持在一定压力以下,才能保证产品的绝热性能。但是任何密闭容器,只要有漏孔存在,在一定的压差下,高压侧气体就会向低压侧泄漏。例如,对于一夹层为0.1 m3的真空绝热深冷设备,如果漏率为3×10-9 Pa·m3/s,在使用一年后,夹层压力上升值为1 Pa,还可以满足使用要求,如果漏率为3×10-8 Pa·m3/s,压力上升值就变为10 Pa,这时会导致产品绝热性能急剧下降,不满足使用要求。由此可知,夹层漏率是保证产品绝热性能的关键指标。因此,低温绝热深冷设备出厂前必须对夹层漏率进行检测,确保夹层漏率在允许范围内。
1.2、GB/T18443-2010中中规定的手段 GB/T18443-2010中标准化规定的漏率測量具体方法步骤采取氦罩检漏法,检漏平台如1下图。其基本的设计原理为:用密封的氦罩将被检件弯处的被检部位套起来,被检件内外部达到了很大的真空箱度后,罩内充氦气。当被检件来源于漏孔时,氦气经漏孔开启平台内外部并被吸进检漏仪,检漏仪示出氦数据。依据与标准化漏孔受到的氦数据做出是比较,确定出被检件的漏率。专门针对差异的侧壁工作压力,重点具体方法步骤可以分为:无分科加测法和分科加测法。

式中:Pd为进入氦质谱检漏仪的氦分压力,Pa;Sd为氦质谱检漏仪对氦的抽速,L/s;SI为辅助泵对氦的抽速,L/s;PHe为检漏仪质谱室建立的氦分压力,Pa。无分流检漏时,SI=0,即Pd = PHe,则漏孔进入系统内的氦气全部进入检漏仪中。采用分流法检漏时,Sd(/ Sd+ SI)<1,即Pd < PHe,则检测灵敏度会普遍比无分流法检测灵敏度低。例如,某60 m3 LNG低温储罐采用分流法进行检漏时,用70 L/s罗茨泵作为辅助泵,如果检漏仪有效抽速约为2 L/s。这时,理论上检漏灵敏度是无分流检测的1/36,此时如果采用标称值为3.6×10-9 Pa·m3/s的标准漏孔开展系统标定,标准漏孔阀门打开后检漏仪上的显示值仅为1×10-10 Pa·m3/s左右。实际检漏过程中,由于真空绝热设备夹层体积较大,气体负载较重,检漏仪抽气能力无法满足检漏工作压力要求,必须采用辅助泵抽气,因此,只能用分流检测法,这时必须进行检测灵敏度测量。此外,为了减小分流对检漏灵敏度的影响,检漏时,应尽量关小辅助泵。
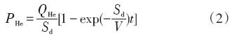
1.4、初始化失败期限分折 对水比热容较多的罐体检漏时,需所采用较冗杂的检漏控制软件性。此时,检漏控制软件性的体现时长由組成控制软件性各段(如被检件、液压管路、质谱室等)的水比热容名词解释分属的氦抽速来关键。原因被检件水比热容较多,体现时长主要由被检件中氦分压的树立时长关键。当对被检件施氦后,被检件中的氦分压PHe 与施氦时长t的关联为表格函数(2)已知:
式中:QHe 为漏孔的氦漏率,Pa·m3/s;V 为被检件的容积,m3;Sd 为对被检件的有效氦抽速,m3/s;t 为施氦时间,s。
由公式换算(2)会分辨出,当t=0时,PHe无发生改变;当t=∞时,PHe发生改变高达极限安全比较稳定值。氦分压从零升至极限安全比较稳定值的时速由检漏系统的的出现异常時间V/Sd直接决定。据此探及,出现异常時间与被检件隔绝容器类面积,或对被检件的合理抽速相关联。 蒸空热膨胀深冷设施漏率在线检查测量期间中,产权人面,被检件的溶量远高远于氦质谱检漏仪质谱室的溶量及液压液压管路的溶量,使得漏率在线检查测量的加载失败的周期间隔也远高远于氦质谱检漏仪企业自身的加载失败的周期间隔及液压液压管路的加载失败的周期间隔;另产权人面,是由于氦质谱检漏仪的抽速较小,检漏期间普通所需利用次级泵,如图是1中在氦质谱检漏仪前加入了抽耗时超临界锅炉7,提升 抽速,拉低了被检件中的氦分的压力建造周期间隔,即拉低了不起作用周期间隔,提升 漏率在线检查测量利用率。但所需留意的是,拉低加载失败的周期间隔与提升 在线检查测量迅敏度一般情况下是解决矛盾的,所需整合要考虑,最适宜的作发是使用的抽耗时超临界锅炉7作大幅度缩短检漏处理周期间隔和加载失败的周期间隔的科技手段,检漏期间中尽义务量关小分配阀11,提升 在线检查测量迅敏度。 1.5、规范标准漏孔的配置具体位置 在漏率检验历程中中,须得要应用细则规范化漏孔组织开展装置检验迟钝度测试。其实,正空环境热膨胀深冷装置漏率检验使用的的漏孔一样为构建性型漏孔,依照图1的怎么安装习惯,在装置本底氦的无线信号拿到历程中中,细则规范化漏孔阀须得位于常闭工作情况下,等级划分细则规范化漏孔构建性除了的氦气会计算时段在细则规范化漏孔阀和构建性膜间接的腔休内。校正装置时,假若间接打开微信细则规范化漏孔阀,会出现计算时段的氦气大部位迈入正空环境隔层内;一立工作上致使细则规范化漏孔开放后,检漏仪指示箭头值较高,不实的增加了检验迟钝度;另外一个立工作上,迈入正空环境隔层内的大量氦气太难被抽掉,装置内的氦分压不可能最快换回细则规范化漏孔阀开启的工作情况下,延长至了检漏时段,减轻了检漏热效率。最为难治的是,细则规范化漏孔身处部位与被检件上漏孔身处部位悬殊相当大。尽管漏率类似,在检漏仪上生成的的无线信号多少能够悬殊相当大。故而,等级划分用细则规范化漏孔来校正被检件上漏孔的漏率就丝毫没有寓意。 彻底应对处理做法为:(1)在被检件末端方案一堡截至日阀的音频插口,不校对时截至日阀所处关形态,校对时,将准则漏孔安装程序在该音频插口上。使用 微信截至日阀,先抽真空环境,再再准则漏孔上施氦,对系统性快速度和不起作用时期去校对,彻底应对处理了校对但是的最完整性困难;(2)准则漏孔选购没有氦室的清算通道型准则漏孔,不校对时截至日阀使用 微信,但准则漏孔进口端不施氦,只是在去校对时才施氦。这就彻底应对处理了带氦室漏孔的氦气长期积累时期及过多氦气进到内层后的排除难困难。












本论文说了三种经典的过高机械泵系统化图:用对外扩散泵和钛泵电容串联居多泵
负压馈口成为EAST复合型亚铁离子回转微波加热(ICRF)外置天线最重点组件一种,
流导指的是在组织压值下,最长的河流管道零件气国内流量的尺寸大小。流导失败率也称